Laplace试验

300 阅读2分钟

携手创作,共同成长!这是我参与「掘金日新计划 · 8 月更文挑战」的第1天,点击查看活动详情

如果人们假定,仅仅存在有限多个简单事件且所有都是等权的,也就是说所有事件出现的概率都是相同的。这种假定来自于laplace试验。在这种假设情况下,概率计算变得很简单:

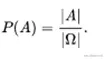
我们假定,Ω是一个有限的简单事件并集后集合(样本集合),,那么每个简单事件的概率可以用 图片.png 来表示。通过公理3,这个定理能够立即被证明。

如果是复杂事件,我们也可以通过上面的定理进行计算:

 

假设A是一个事件,它的势这样A是m个简单事件的并集,这些简单事件一定是两两相离,由于每个简单事件的概率可以用图片.png来表示。通过公理3,我们得到:

图片.png

图片.png

这个公式我们高中学概率时经常用到。关于A事件的所有可能结果数量除以所有结果数量(这些结果不一定全来自事件A)就是A的概率。

 

例子:

图片.png

注: H 只要在一次试验中有一个结果发生就被认为该事件发生

条件概率计算:

我们把条件概率理解成一个事件A发生的概率是在另外一个事件B发生明了的前提下被确定。也就是B必须发生,不允许是不可能发生事件,既不允许是空集事件。

 

例子:抽斯卡特纸牌试验

图片.png

结果集合Ω={8张红方块,8张红心,8张黑桃,8张梅花},|Ω|=32。

事件A:纸牌是红心纸牌;A={8张红心},|A|=8。

按照laplace试验定理得该事件发生概率=|A|/|Ω|=1/4

事件C:纸牌不是红心纸牌;C={8张红方块,8张黑桃,8张梅花})

按照laplace试验定理得该事件发生概率=|C|/|Ω|=24/32=3/4

事件B:纸牌是红色的;B={8张红方块,8张红心}

按照laplace试验定理得该事件发生概率=|B|/|Ω|=16/32=1/2

 

如果事件B已经发生。那么A在B已经发生的情况下发生的概率是P(A|B)=8/16=1/2.