☆打卡算法☆LeetCode 226. 翻转二叉树 算法解析

167 阅读2分钟

携手创作,共同成长!这是我参与「掘金日新计划 · 8 月更文挑战」的第31天,点击查看活动详情

推荐阅读

大家好,我是小魔龙,Unity3D软件工程师,VR、AR,虚拟仿真方向,不定时更新软件开发技巧,生活感悟,觉得有用记得一键三连哦。

一、题目

1、算法题目

“给定一个二叉树的根节点,翻转这颗二叉树,返回其根节点。”

题目链接:

来源:力扣(LeetCode)

链接: 226. 翻转二叉树 - 力扣(LeetCode)

2、题目描述

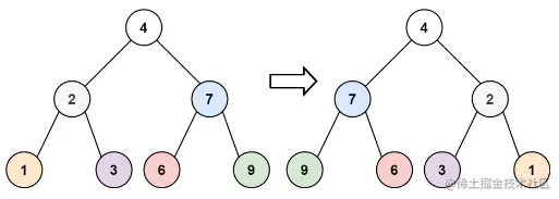
给你一棵二叉树的根节点 root ,翻转这棵二叉树,并返回其根节点。

image.png

示例 1:
输入: root = [4,2,7,1,3,6,9]
输出: [4,7,2,9,6,3,1]
示例 2:
输入: root = [2,1,3]
输出: [2,3,1]

二、解题

1、思路分析

题意是给定一棵二叉树的根节点,翻转二叉树,返回根节点。

二叉树天生具有递归的性质,从根节点开始,递归地对树进行遍历,并从叶子结点先开始翻转。

如果当前遍历到的节点的左右两颗子树都已经翻转,则需要交换两个子树的位置。

最后遍历完成后,就完成了以root为根节点的整颗子树的翻转。

2、代码实现

代码参考:

class Solution {
    public TreeNode invertTree(TreeNode root) {
        if (root == null) {
            return null;
        }
        TreeNode left = invertTree(root.left);
        TreeNode right = invertTree(root.right);
        root.left = right;
        root.right = left;
        return root;
    }
}

image.png

3、时间复杂度

时间复杂度:O(N)

其中N为二叉树节点的数目,遍历二叉树中的每一个节点,对于每个节点而言,只需要在常数时间内交换其两颗子树。

空间复杂度:O(N)

使用的空间由递归栈的深度决定,也就是二叉树的高度,二叉树的高度与节点个数为对数关系,也就是O(log N),在最坏情况下,树形成链状,空间复杂度为O(N)。

三、总结

如果根节点不为空,那么就要交换其左右子树(即使左右子树是空节点也没关系)。

需要注意的是,当左子树被换位右子树之后,原先的左子树。