「日更刷题」面试题 02.07. 链表相交

187 阅读3分钟

携手创作,共同成长!这是我参与「掘金日新计划 · 8 月更文挑战」的第27天,点击查看活动详情

一、前言

每日算法坚持第四天,该专栏争取日日更新,加油

二、简介和示例

简介

LeetCode 面试题 02.07. 链表相交: 给你两个单链表的头节点 headA 和 headB ,请你找出并返回两个单链表相交的起始节点。如果两个链表没有交点,返回 null 。

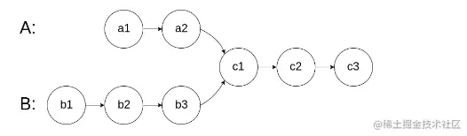
图示两个链表在节点 c1 开始相交:

image.png

题目数据 保证 整个链式结构中不存在环。

注意,函数返回结果后,链表必须 保持其原始结构 。

链表数据结构

public class ListNode {
    public int val;
    public ListNode next;

    public ListNode() {
    }

    public ListNode(int val) {
        this.val = val;
    }

    public ListNode(int val, ListNode next) {
        this.val = val;
        this.next = next;
    }
}

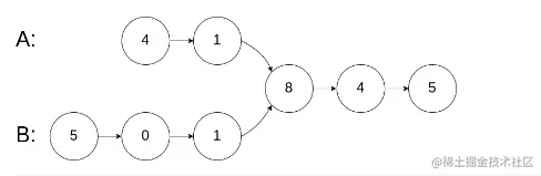
示例1

image.png

输入:intersectVal = 8, listA = [4,1,8,4,5], listB = [5,0,1,8,4,5], skipA = 2, skipB = 3
输出:Intersected at '8'
解释:相交节点的值为 8 (注意,如果两个链表相交则不能为 0)。
从各自的表头开始算起,链表 A[4,1,8,4,5],链表 B[5,0,1,8,4,5]。
在 A 中,相交节点前有 2 个节点;在 B 中,相交节点前有 3 个节点。

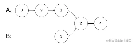
示例2

image.png

输入:intersectVal = 2, listA = [0,9,1,2,4], listB = [3,2,4], skipA = 3, skipB = 1
输出:Intersected at '2'
解释:相交节点的值为 2 (注意,如果两个链表相交则不能为 0)。
从各自的表头开始算起,链表 A[0,9,1,2,4],链表 B[3,2,4]。
在 A 中,相交节点前有 3 个节点;在 B 中,相交节点前有 1 个节点。

示例3

image.png

输入:intersectVal = 0, listA = [2,6,4], listB = [1,5], skipA = 3, skipB = 2
输出:null
解释:从各自的表头开始算起,链表 A[2,6,4],链表 B[1,5]。
由于这两个链表不相交,所以 intersectVal 必须为 0,而 skipA 和 skipB 可以是任意值。
这两个链表不相交,因此返回 null 。

提示

  • listA 中节点数目为 m
  • listB 中节点数目为 n
  • 0 <= m, n <= 3 * 104
  • 1 <= Node.val <= 105
  • 0 <= skipA <= m
  • 0 <= skipB <= n
  • 如果 listA 和 listB 没有交点,intersectVal 为 0
  • 如果 listA 和 listB 有交点,intersectVal == listA[skipA + 1] == listB[skipB + 1]

三、解题

错误示范

注意: 这里求的是指针相同的情况下的交点, 而不是求相同的数值, 这个就很烦, 最开始读题没有读明白, 提交代码的时候还报错

image.png

错误代码展示

public static ListNode getIntersectionNode(ListNode headA, ListNode headB) {
    // 两个链表, 记录 headA和 headB的元素值
    List<Integer> list1 = new ArrayList<>();
    List<Integer> list2 = new ArrayList<>();

    // 链表A和B, 题中有说不改变原先的链表
    ListNode one = headA;
    ListNode two = headB;

    // 遍历获取链表的值
    while(one != null){
        list1.add(one.val);
        one = one.next;
    }
    while(two != null){
        list2.add(two.val);
        two = two.next;
    }
    
    // 判断最短长度去循环
    int size = list1.size() < list2.size() ? list1.size() : list2.size();

    // 返回值链表
    ListNode node = null;
    
    // 遍历循环
    int j = 1;
    for (int i = size - 1 ; i >= 0; i--) {
        if (list1.get(i) != list2.get(list2.size() - j)){
            if (i < size){
                node = new ListNode(list1.get(i + 1));
            }
            break;
        }
        j++;
    }

    return node;
}

思路分析

  • 首先一定要注意, 我们要求的是同指针下的交点
  • 因为题中要求不改变原链表结构
  • 首先, 我们先搞两个链表去接受 headA和 headB
  • 其次我们就要把我们的链表长度保持一致
  • 首先计算出 headA 和 headB的长度
  • 然后将长的那个链表移动到和短的链表保持一致的长度
  • 最后去循环遍历判断两个链表是否有一致的值. 如果有则返回

注意:

第一次记录链表长度的循环结束之后要记得重新为链表赋值

比较的是指针是否相同, 最后一个循环比较的是 nodeA == nodeB. 而不是 nodeA.val == nodeB.val

四、代码展示

    public static ListNode getIntersectionNode(ListNode headA, ListNode headB) {
        // 两个链表, 接受 headA和 headB
        ListNode nodeA = headA;
        ListNode nodeB = headB;

        // 记录两个链表的长度
        Integer skipA = 0, skipB = 0;

        // 计算出两个链表的长度
        while(nodeA != null){
            skipA++;
            nodeA = nodeA.next;
        }
        while(nodeB != null){
            skipB++;
            nodeB = nodeB.next;
        }

        // 循环结束之后要重新为两个链表赋值
        nodeA = headA;
        nodeB = headB;

        // 两个链表长度差
        Integer n = skipA - skipB;

        // 让链表A为最长链表, 方便我们后续移动链表操作
        if (skipA < skipB){
            // 交换链表节点
            ListNode node = nodeA;
            nodeA = nodeB;
            nodeB = node;
            // 如果B链表长. 那么长度差是负值, 所以这里要重新进行计算
            n = skipB - skipA;
        }

        // n是长度差, 缩短链表A至长度与B相等
        while(n-- > 0 ){
            nodeA = nodeA.next;
        }

        // 记录返回值
        ListNode node = null;

        // 循环判断链表值是否相等
        while(nodeA != null){
            // 如果两个值相等, 则跳出循环
            if (nodeA == nodeB){
                return nodeA;
            }
            nodeA = nodeA.next;
            nodeB = nodeB.next;
        }

        return null;
    }

五、提交代码

image.png

注: 刷 LeetCode感觉自己做对了, 但是测试是错的时候, 一定要看评论区, 肯定是有哪里自己没有考虑到




本文内容到此结束了

如有收获欢迎点赞👍收藏💖关注✔️,您的鼓励是我最大的动力。

如有错误❌疑问💬欢迎各位大佬指出。

我是 宁轩 , 我们下次再见