【LeetCode】337.打家劫舍 III

72 阅读2分钟

携手创作,共同成长!这是我参与「掘金日新计划 · 8 月更文挑战」的第28天,点击查看活动详情

题目

小偷又发现了一个新的可行窃的地区。这个地区只有一个入口,我们称之为 root 。

除了 root 之外,每栋房子有且只有一个“父“房子与之相连。一番侦察之后,聪明的小偷意识到“这个地方的所有房屋的排列类似于一棵二叉树”。 如果 两个直接相连的房子在同一天晚上被打劫 ,房屋将自动报警。

给定二叉树的 root 。返回 在不触动警报的情况下 ,小偷能够盗取的最高金额 。

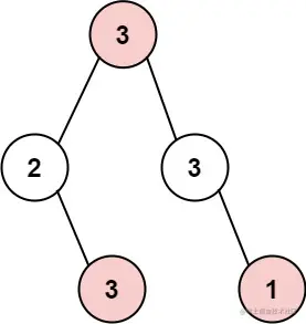
示例 1

img

输入: root = [3,2,3,null,3,null,1]
输出: 7 
解释: 小偷一晚能够盗取的最高金额 3 + 3 + 1 = 7

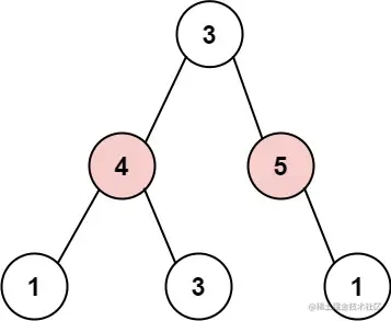
示例 2

img

输入: root = [3,4,5,1,3,null,1]
输出: 9
解释: 小偷一晚能够盗取的最高金额 4 + 5 = 9

提示

  • 树的节点数在 [1, 104] 范围内
  • 0 <= Node.val <= 10^4

题解

思路

我们使用爷爷、两个孩子、4 个孙子来说明问题

首先来定义这个问题的状态,爷爷节点获取到最大的偷取的钱数呢

首先要明确相邻的节点不能偷,也就是爷爷选择偷,儿子就不能偷了,但是孙子可以偷 二叉树只有左右两个孩子,一个爷爷最多 2 个儿子,4 个孙子 根据以上条件,我们可以得出单个节点的钱该怎么算 4 个孙子偷的钱 + 爷爷的钱 VS 两个儿子偷的钱 哪个组合钱多,就当做当前节点能偷的最大钱数。这就是动态规划里面的最优子结构

由于是二叉树,这里可以选择计算所有子节点

4 个孙子投的钱加上爷爷的钱如下

int method1 = root.val + rob(root.left.left) + rob(root.left.right) + rob(root.right.left) + rob(root.right.right)

两个儿子偷的钱如下

int method2 = rob(root.left) + rob(root.right);

挑选一个钱数多的方案则

int result = Math.max(method1, method2);

代码

public int rob(TreeNode root) {
    if (root == null) return 0;

    int money = root.val;
    if (root.left != null) {
        money += (rob(root.left.left) + rob(root.left.right));
    }

    if (root.right != null) {
        money += (rob(root.right.left) + rob(root.right.right));
    }

    return Math.max(money, rob(root.left) + rob(root.right));
}

结语

业精于勤,荒于嬉;行成于思,毁于随。