二叉树最大宽度

86 阅读1分钟

携手创作,共同成长!这是我参与「掘金日新计划 · 8 月更文挑战」的第32天,点击查看活动详情

662. 二叉树最大宽度 - 力扣(LeetCode)

给你一棵二叉树的根节点 root ,返回树的 最大宽度

树的 最大宽度 是所有层中最大的 宽度

每一层的 宽度 被定义为该层最左和最右的非空节点(即,两个端点)之间的长度。将这个二叉树视作与满二叉树结构相同,两端点间会出现一些延伸到这一层的 null 节点,这些 null 节点也计入长度。

题目数据保证答案将会在  32 位 带符号整数范围内。

示例 1:


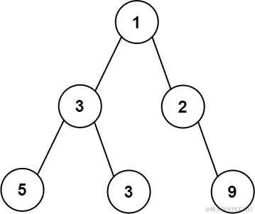
输入: root = [1,3,2,5,3,null,9]
输出: 4
解释: 最大宽度出现在树的第 3 层,宽度为 4 (5,3,null,9) 。

示例 2:


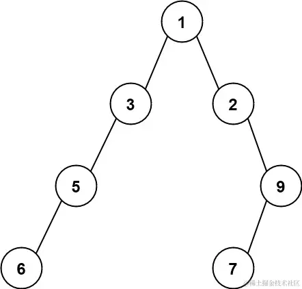
输入: root = [1,3,2,5,null,null,9,6,null,7]
输出: 7
解释: 最大宽度出现在树的第 4 层,宽度为 7 (6,null,null,null,null,null,7) 。

示例 3:


输入: root = [1,3,2,5]
输出: 2
解释: 最大宽度出现在树的第 2 层,宽度为 2 (3,2) 。

提示:

  • 树中节点的数目范围是 [1, 3000]
  • -100 <= Node.val <= 100

解题

/**
 * Definition for a binary tree node.
 * function TreeNode(val, left, right) {
 *     this.val = (val===undefined ? 0 : val)
 *     this.left = (left===undefined ? null : left)
 *     this.right = (right===undefined ? null : right)
 * }
 */
/**
 * @param {TreeNode} root
 * @return {number}
 */
var widthOfBinaryTree = function (root) {
  const levels = [];
  let width = 0;
  const dfs = (node, i, level) => {
    if (levels.length == level) {
      levels[level] = i;
      i = 0;
    } else {
      i -= levels[level];
      width = Math.max(width, i);
    }
    i = i << 1;
    level += 1;
    if (node.left) {
      dfs(node.left, i, level);
    }
    if (node.right) {
      dfs(node.right, i + 1, level);
    }
  };
  dfs(root, 0, 0);
  return width + 1;
};