力扣每日一题0827-662. 二叉树最大宽度

109 阅读2分钟

携手创作,共同成长!这是我参与「掘金日新计划 · 8 月更文挑战」的第27天,点击查看活动详情

给你一棵二叉树的根节点 roo ,返回树的 最大宽度

树的 最大宽度 是所有层中最大的 宽度

每一层的 宽度 被定义为该层最左和最右的非空节点(即,两个端点)之间的长度。将这个二叉树视作与满二叉树结构相同,两端点间会出现一些延伸到这一层的 null 节点,这些 null 节点也计入长度。

题目数据保证答案将会在  32 位 带符号整数范围内。

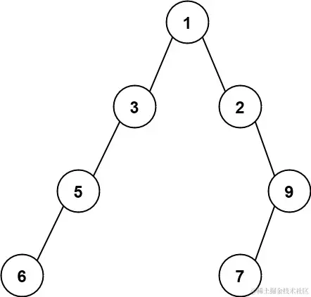
示例 1:

width1-tree.jpg

输入:root = [1,3,2,5,3,null,9]
输出:4
解释:最大宽度出现在树的第 3 层,宽度为 4 (5,3,null,9) 。

示例 2:

maximum-width-of-binary-tree-v3.jpg

输入:root = [1,3,2,5,null,null,9,6,null,7]
输出:7
解释:最大宽度出现在树的第 4 层,宽度为 7 (6,null,null,null,null,null,7) 。

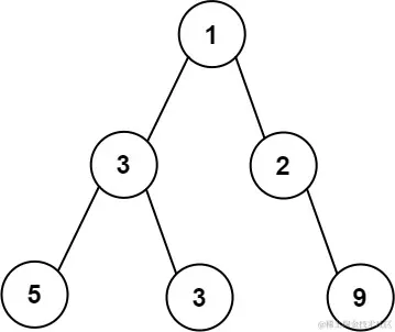
示例 3:

width3-tree.jpg

输入:root = [1,3,2,5]
输出:2
解释:最大宽度出现在树的第 2 层,宽度为 2 (3,2) 。

广度优先搜索

此题求二叉树所有层的最大宽度,比较直观的方法是求出每一层的宽度,然后求出最大值。求每一层的宽度时,因为两端点间的 null\texttt{null} 节点也需要计入宽度,因此可以对节点进行编号。一个编号为 index\textit{index} 的左子节点的编号记为 2×index2 \times \textit{index},右子节点的编号记为 2×index+12 \times \textit{index} + 1,计算每层宽度时,用每层节点的最大编号减去最小编号再加 1 即为宽度。

遍历节点时,可以用广度优先搜索来遍历每一层的节点,并求出最大值。

class Solution {
    public int widthOfBinaryTree(TreeNode root) {
        int res = 1;
        List<Pair<TreeNode, Integer>> arr = new ArrayList<Pair<TreeNode, Integer>>();
        arr.add(new Pair<TreeNode, Integer>(root, 1));
        while (!arr.isEmpty()) {
            List<Pair<TreeNode, Integer>> tmp = new ArrayList<Pair<TreeNode, Integer>>();
            for (Pair<TreeNode, Integer> pair : arr) {
                TreeNode node = pair.getKey();
                int index = pair.getValue();
                if (node.left != null) {
                    tmp.add(new Pair<TreeNode, Integer>(node.left, index * 2));
                }
                if (node.right != null) {
                    tmp.add(new Pair<TreeNode, Integer>(node.right, index * 2 + 1));
                }
            }
            res = Math.max(res, arr.get(arr.size() - 1).getValue() - arr.get(0).getValue() + 1);
            arr = tmp;
        }
        return res;
    }
}

深度优先搜索

仍然按照上述方法编号,可以用深度优先搜索来遍历。遍历时如果是先访问左子节点,再访问右子节点,每一层最先访问到的节点会是最左边的节点,即每一层编号的最小值,需要记录下来进行后续的比较。一次深度优先搜索中,需要当前节点到当前行最左边节点的宽度,以及对子节点进行深度优先搜索,求出最大宽度,并返回最大宽度。

class Solution {
    Map<Integer, Integer> levelMin = new HashMap<Integer, Integer>();

    public int widthOfBinaryTree(TreeNode root) {
        return dfs(root, 1, 1);
    }

    public int dfs(TreeNode node, int depth, int index) {
        if (node == null) {
            return 0;
        }
        levelMin.putIfAbsent(depth, index); // 每一层最先访问到的节点会是最左边的节点,即每一层编号的最小值
        return Math.max(index - levelMin.get(depth) + 1, Math.max(dfs(node.left, depth + 1, index * 2), dfs(node.right, depth + 1, index * 2 + 1)));
    }
}