deepsort--马氏距离

520 阅读1分钟

欧几里得距离

一维空间

image.png

distance: xixˉ x_i-\bar{x}

多维空间

distance: (xixˉ)2+(yiyˉ)2+(ninˉ)2 \sqrt{(x_i-\bar{x})^2+(y_i-\bar{y})^2+(n_i-\bar{n})^2}

image.png

局限性

实际上,分布有不同的密集程度,如图中的红点和蓝点,欧几里得距离相同,但是蓝点显然离密度高的地方近

image.png

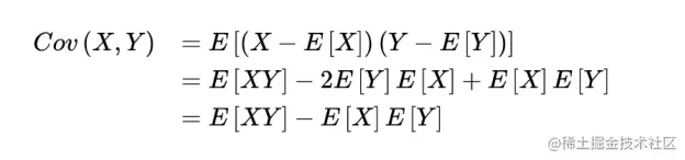
协方差

image.png

协方差矩阵

image.png

去除协方差(Ax=λx Ax= \lambda x

Ax=λx Ax= \lambda x 通过将每个特征向量视为新轴来消除协方差, 除以λi\sqrt{\lambda_i}, 然后计算点之间的距离,重新缩放以消除协方差. Mahalanobis距离测量执行以下操作: -它将变量转换为不相关变量 -并使其方差等于1 -然后计算简单的欧几里得距离

与欧氏距离不同的是,它考虑到各种特性之间的联系 (例如:一条关于身高的信息会带来一条关于体重的信 息,因为两者是有关联的),并且是尺度无关的(scale-invariant),即独立于测量尺度

image.png

(squared)马氏距离

D2=(xxˉ)TS1(xxˉ) D^2 = (x-\bar{x})^TS^{-1}(x-\bar{x})

image.png

  • T:矩阵的转置

  • xˉ\bar{x}:平均距离的矩阵

  • S1S^{-1}:协方差矩阵的逆

    • image.png

如果协方差矩阵为单位矩阵,那么马氏距离就简化为欧式距离

比较

image.png

Error ellipse

image.png

计算方法

image.png