LeetCode 105:从前序与中序遍历序列构造二叉树

178 阅读2分钟

携手创作,共同成长!这是我参与「掘金日新计划 · 8 月更文挑战」的第30天,点击查看活动详情

从前序与中序遍历序列构造二叉树

题目描述:

给定一棵树的前序遍历 preorder 与中序遍历  inorder。请构造二叉树并返回其根节点。

示例 1: 

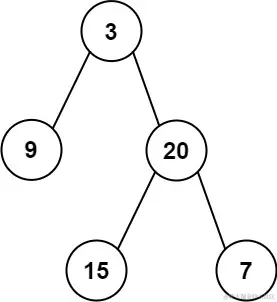
输入: preorder = [3,9,20,15,7], inorder = [9,3,15,20,7]
输出: [3,9,20,null,null,15,7]

 示例 2:

输入: preorder = [-1], inorder = [-1]
输出: [-1]

示例 3:

输入: root = []
输出: []

解题思路 

二叉树前序遍历的顺序为:

  • 先遍历根节点;
  • 随后递归地遍历左子树;
  • 最后递归地遍历右子树。

二叉树中序遍历的顺序为:

  • 先递归地遍历左子树;
  • 随后遍历根节点;
  • 最后递归地遍历右子树。

思路一:递归

对于任意一颗树而言,前序遍历的形式总是
[ 根节点, [左子树的前序遍历结果], [右子树的前序遍历结果] ] 即根节点总是前序遍历中的第一个节点。

而中序遍历的形式总是
[ [左子树的中序遍历结果], 根节点, [右子树的中序遍历结果] ] 只要我们在中序遍历中定位到根节点,那么我们就可以分别知道左子树和右子树中的节点数目。由于同一颗子树的前序遍历和中序遍历的长度显然是相同的,因此我们就可以对应到前序遍历的结果中,对上述形式中的所有左右括号进行定位。

这样以来,我们就知道了左子树的前序遍历和中序遍历结果,以及右子树的前序遍历和中序遍历结果,我们就可以递归地对构造出左子树和右子树,再将这两颗子树接到根节点的左右位置。

/**
 * @param {number[]} preorder
 * @param {number[]} inorder
 * @return {TreeNode}
 */
var buildTree = function (preorder, inorder) {
  if (!preorder.length) return null;
  // 通过前序遍历知道二叉树的根
  var val = preorder[0];
  var node = new TreeNode(val);
  var index = inorder.indexOf(val);

  var inLeft = inorder.slice(0, index),  // 左子树的中序遍历结果
    inRight = inorder.slice(index + 1), // 右子树的中序遍历结果
    preLeft = preorder.slice(1, index + 1),  // 左子树的前序遍历结果
    preRight = preorder.slice(index + 1);   // 右子树的前序遍历结果

  node.left = buildTree(preLeft, inLeft);
  node.right = buildTree(preRight, inRight);
  return node;
};

时间复杂度: O(n)

空间复杂度: O(n)

参考资料

LeetCode.105 从前序与中序遍历序列构造二叉树