「日更刷题」24. 两两交换链表中的节点

147 阅读3分钟

携手创作,共同成长!这是我参与「掘金日新计划 · 8 月更文挑战」的第26天,点击查看活动详情

一、前言

每日算法坚持第二天,该专栏争取日日更新,加油

二、简介和示例

简介

给你一个链表,两两交换其中相邻的节点,并返回交换后链表的头节点。你必须在不修改节点内部的值的情况下完成本题(即,只能进行节点交换)。

链表数据结构

public class ListNode {
    public int val;
    public ListNode next;

    public ListNode() {
    }

    public ListNode(int val) {
        this.val = val;
    }

    public ListNode(int val, ListNode next) {
        this.val = val;
        this.next = next;
    }
}

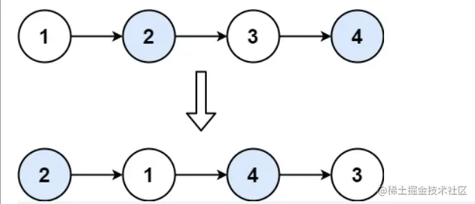
示例1

image.png

输入: head = [1,2,3,4]
输出: [2,1,4,3]

示例2

输入: head = []
输出: []

示例3

输入: head = [1]
输出: [1]

提示

  • 链表中节点的数目在范围 [0, 100] 内
  • 0 <= Node.val <= 100

三、解题

思路分析

这个题的思路有两种, 一种是使用递归来做, 一种是使用虚拟头节点来做, 我使用的是虚拟头节点方法

首先,我们假设链表结构如图所示

image.png

我们需要两两交换链表中的节点,变成如图所示的结构

image.png

这边我们使用虚拟头节点的方式,为该链表创建一个头节点,不然的话没有指针指向第一个节点,不好去操作

image.png

我们要进行的操作如下:

  • 将节点2放置到节点1的位置
  • 节点1的 next指向后面不变的节点3地址
  • 节点2的 next指向节点1

image.png

代码实现

方法入参是 ListNode head

首先我们新建一个虚拟节点, 并将其指向我们的链表 head, 同时返回的时候注意不要直接返回

ListNode dummyNode = new ListNode(0);
dummNode.next = head;
...
return dummNode.next;

设置一个我们要对其进行修改的链表

ListNode prev = dumm

接下来就要对我们的链表进行循环操作,去对节点进行位置交换

但是这里有一个地方需要注意,那就是循环的中止条件,如下图所示,进行第三次循环的时候链表只剩下一位,不能够进行两两交换了,那肯定要中止循环了,这个时候的判断条件是 链表.next.next != null, 但是这是基于我们的链表节点是单数的情况下, 如果是偶数的情况下, 我们循环的终止条件应该是 链表.next != null, 而且这两个条件的执行顺序也要注意,应该是 链表.next != null 在前,因为 链表为null 的情况下 链表.next.next会报空指针异常

image.png

具体代码如下:

while(prev.next !=null && prev.next.next != null){

}

在循环内具体的操作:

  • 缓存后面不变的节点3
  • 缓存1节点
  • prev.next更改为2节点
  • 1节点.next = 3节点
  • 2节点.next = 1节点
  • 将prev跟改为还未交换位置的节点
  • 具体代码如下所示
// 缓存不变的链表信息(只动两个节点进行位置交换, 将两个节点之后的节点缓存下来)
ListNode temp = prev.next.next.next;
// 缓存第一个节点信息(先将第二个节点的位置放到第一个节点的位置上, 第一个节点就没有了节点信息)
ListNode temp1 = prev.next;
// 将第二个节点提取到第一个节点的位置
prev.next = prev.next.next;
// 将不变的链表放置到 原第一个节点后面
temp1.next = temp;
// 将原第一个节点放置到现第二个节点的位置
prev.next.next = temp1;
// 链表移动两位
prev = prev.next.next;

四、代码展示

public static ListNode swapPairs(ListNode head) {
    // 设置虚拟头节点
    ListNode dummyNode = new ListNode(0);
    dummyNode.next = head;
    ListNode prev = dummyNode;
    // 先进行下一个节点的判断, 在进行下下个节点的判断, 避免空指针异常
    while (prev.next != null && prev.next.next != null) {
        // 缓存不变的链表信息(只动两个节点进行位置交换, 将两个节点之后的节点缓存下来)
        ListNode temp = prev.next.next.next;
        // 缓存第一个节点信息(先将第二个节点的位置放到第一个节点的位置上, 第一个节点就没有了节点信息)
        ListNode temp1 = prev.next;
        // 将第二个节点提取到第一个节点的位置
        prev.next = prev.next.next;
        // 将不变的链表放置到 原第一个节点后面
        temp1.next = temp;
        // 将原第一个节点放置到现第二个节点的位置
        prev.next.next = temp1;
        // 链表移动两位
        prev = prev.next.next;
    }
    return dummyNode.next;
}

五、提交代码

image.png




本文内容到此结束了

如有收获欢迎点赞👍收藏💖关注✔️,您的鼓励是我最大的动力。

如有错误❌疑问💬欢迎各位大佬指出。

我是 宁轩 , 我们下次再见