刷完LeetCode题库——142. 环形链表 II

109 阅读2分钟

携手创作,共同成长!这是我参与「掘金日新计划 · 8 月更文挑战」的第30天,点击查看活动详情

题目详情

LeetCode题库序号 142. 环形链表 II ,难度为 简单

Tag : 「哈希表」

给定一个链表的头节点  head ,返回链表开始入环的第一个节点。 如果链表无环,则返回 null。

如果链表中有某个节点,可以通过连续跟踪 next 指针再次到达,则链表中存在环。 为了表示给定链表中的环,评测系统内部使用整数 pos 来表示链表尾连接到链表中的位置(索引从 0 开始)。如果 pos 是 -1,则在该链表中没有环。注意:pos 不作为参数进行传递,仅仅是为了标识链表的实际情况。

不允许修改 链表。

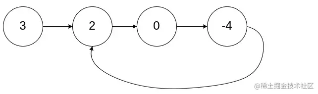
示例 1:

image.png

输入: head = [3,2,0,-4], pos = 1
输出: 返回索引为 1 的链表节点
解释: 链表中有一个环,其尾部连接到第二个节点。

示例 2:

image.png

输入: head = [1,2], pos = 0
输出: 返回索引为 0 的链表节点
解释: 链表中有一个环,其尾部连接到第一个节点。

示例 3:

image.png

输入: head = [1], pos = -1
输出: 返回 null
解释: 链表中没有环。

提示:

  • 链表中节点的数目范围在范围 [0, 104] 内
  • -105 <= Node.val <= 105
  • pos 的值为 -1 或者链表中的一个有效索引

哈希表

题解思路:链表中有环的话,肯定是尾节点不为空,并且指向了先前的某个节点,正常链表的尾节点的next节点都是为空的,所以我们需要记录在链表遍历过的所有节点,如果某个节点的下一个节点,先前已经遍历过了,那么就代表这个是环的开始。返回即可。详情见以下代码:

题解代码


/**
 * Definition for singly-linked list.
 * class ListNode {
 *     int val;
 *     ListNode next;
 *     ListNode(int x) {
 *         val = x;
 *         next = null;
 *     }
 * }
 */
public class Solution {
    public ListNode detectCycle(ListNode head) {
        ListNode pos = head;
        Set<ListNode> set = new HashSet<>();
        while (pos != null) {
            if (set.contains(pos)) {
                return pos;
            } else {
                set.add(pos);
            }

            pos = pos.next;
        }

        return null;
    }
}

结尾

我的"刷完LeetCode题库"系列文章的第 No.142 序号的题目,本次刷题之旅系列开始于 2022-06-12,因为LeetCode上部分是有锁题,我自己的目标是将先把所有不带锁的题目刷完。自己能够通过这次刷题之旅勉励自己,并且提升逻辑思维能力。这个系列的文章就是会见证我自己的一个成长过程!

思路虽然不是最优的,但是我会尽我所能!

为了让我自己的刷题之旅不中断,我特地建立了相关的仓库,来记录我自己的刷题之旅。 github.com/jackpan123/…