AcWing 885. 求组合数 I

156 阅读1分钟

AcWing 885. 求组合数 I

给定 n 组询问,每组询问给定两个整数 a,b,请你输出 Ca ^ b mod(10^9+7)的值。

输入格式

第一行包含整数 n。

接下来 n 行,每行包含一组 a 和 b。

输出格式

共 n 行,每行输出一个询问的解。

数据范围

1≤n≤10000,
1≤b≤a≤2000

输入样例:

3
3 1
5 3
2 2

输出样例:

3
10
1

思路

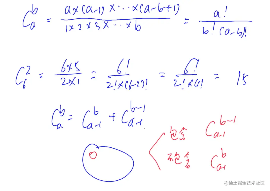
image.png

递推法求组合数模板

// c[a][b] 表示从a个苹果中选b个的方案数
for (int i = 0; i < N; i ++ )
    for (int j = 0; j <= i; j ++ )
        if (!j) c[i][j] = 1;
        else c[i][j] = (c[i - 1][j] + c[i - 1][j - 1]) % mod;

ac代码

#include <iostream>
#include <algorithm>
using namespace std;
const int N = 2010, mod = 1e9 + 7;
int c[N][N];
void init(){
    for (int i = 0; i < N; i ++ )
        for (int j = 0; j <= i; j ++ )
            if (!j) c[i][j] = 1;
            else c[i][j] = (c[i - 1][j] + c[i - 1][j - 1]) % mod;
}
int main(){
    int n;
    init();
    scanf("%d", &n);
    while (n -- ){
        int a, b;
        scanf("%d%d", &a, &b);
        printf("%d\n", c[a][b]);
    }
    return 0;
}