量化金融 板块 3 - 3 - 鞅和偏微分方程:3W

506 阅读1分钟

量化金融 板块 3 - 3 - 鞅和偏微分方程:3W

欢迎点赞,收藏~更多量化课程持续更新ing

在板块3 - 3中,您将学习目前我们看到的三种估值模型:二项式模型;PDE 方法;鞅方法。

在板块 3 - 3 学习结束时,您将能够

  • 无论我们为二项式模型选择的具体实现如何,二项式模型和鞅方法都是一致的
  • 当我们采用 CRR 实现时,二项式模型的风险中性定价公式(2)收敛到 Black-Scholes 公式
  • 当我们采用 CRR 实现时,二项式模型的无套利定价公式 (1) 收敛于 Black-Scholes PDE
  • 在完全市场中,无套利法和鞅测度法是严格等价的

1. 计算衍生工具的价格期望

image.png

image.png

2. Girsanov定理与测度变换

image.png

image.png

3. 基本资产定价公式

image.png

image.png

image.png

image.png

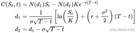
4. Black-Scholes公式

image.png

image.png

5. Feynman-K_ac公式

image.png

image.png

6. Black-Scholes的扩展:股息和时间相关参数

image.png

7. Black-Scholes期货期权公式

image.png

image.png