LeetCode 112:路径总和

239 阅读2分钟

路径总和

题目描述:

给你二叉树的根节点 root 和一个表示目标和的整数 targetSum 。判断该树中是否存在 根节点到叶子节点 的路径,这条路径上所有节点值相加等于目标和 targetSum 。如果存在,返回 true ;否则,返回 false 。

叶子节点 是指没有子节点的节点。

示例 1: 

输入:root = [5,4,8,11,null,13,4,7,2,null,null,null,1], targetSum = 22
输出:true
解释:等于目标和的根节点到叶节点路径如上图所示。

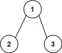
 示例 2:

输入:root = [1,2,3], targetSum = 5
输出:false
解释:树中存在两条根节点到叶子节点的路径:
(1 --> 2): 和为 3
(1 --> 3): 和为 4
不存在 sum = 5 的根节点到叶子节点的路径。

示例 3:

入: root = [], targetSum = 0
输出: false
解释: 由于树是空的,所以不存在根节点到叶子节点的路径。

解题思路 

思路一: 递归/深度优先遍历

可以将问题拆分成小问题: 是否存在从当前节点的子节点到叶子的路径,满足其路径和为 sum - val 若当前节点就是叶子节点,那么我们直接判断 sum 是否等于 val 即可。 若当前节点不是叶子节点,我们只需要递归地询问它的子节点是否能满足条件即可。

实现代码如下:

/**
 * @param {TreeNode} root
 * @param {number} targetSum
 * @return {boolean}
 */
var hasPathSum = function (root, targetSum) {
  // 根节点为空
  if (root === null) return false;
  // 叶子节点
  if (root.left === null && root.right === null) return root.val === targetSum;
  // 总和减去当前值并递归
  targetSum = targetSum - root.val;
  return hasPathSum(root.left, targetSum) || hasPathSum(root.right, targetSum)
};

时间复杂度: O(n),其中 n 是二叉树中的节点个数

空间复杂度: O(n)

思路二: 迭代

使用 队列 保存遍历到每个节点时的路径差,如果该节点恰好是叶子节点,并且 路径和 正好等于 0, 说明找到了结果

实现代码如下:

var hasPathSum = function (root, targetSum) {
  if (root === null) return false;
  let stack = [root];
  let sumStack = [targetSum - root.val];
  while (stack.length > 0) {
    let node = stack.pop();
    let currSum = sumStack.pop();
    if (node.left === null && node.right === null && currSum === 0) {
      return true;
    }
    if (node.right !== null) {
      stack.push(node.right);
      sumStack.push(currSum - node.right.val);
    }
    if (node.left !== null) {
      stack.push(node.left);
      sumStack.push(currSum - node.left.val);
    }
  }
  return false;
};

参考资料

112. 路径总和 - 力扣(LeetCode)