LeetCode160、 相交链表

85 阅读2分钟

LeetCode 系列记录我学习算法的过程。

携手创作,共同成长!这是我参与「掘金日新计划 · 8 月更文挑战」的第25天,点击查看活动详情

题目

给你两个单链表的头节点 headAheadB ,请你找出并返回两个单链表相交的起始节点。如果两个链表不存在相交节点,返回 null

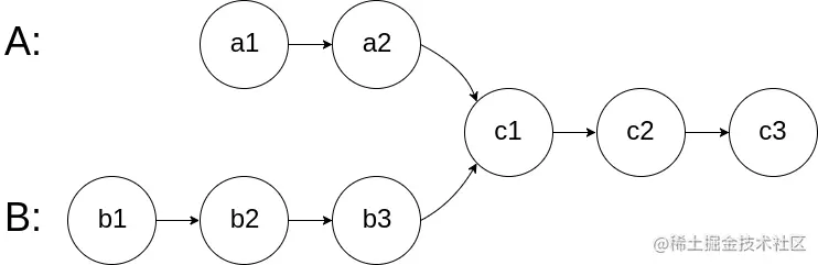
图示两个链表在节点 c1 开始相交:

image.png

题目数据 保证 整个链式结构中不存在环。

注意:函数返回结果后,链表必须 保持其原始结构

自定义评测:

评测系统 的输入如下(你设计的程序 不适用 此输入):

  • intersectVal - 相交的起始节点的值。如果不存在相交节点,这一值为 0
  • listA - 第一个链表
  • listB - 第二个链表
  • skipA - 在 listA 中(从头节点开始)跳到交叉节点的节点数
  • skipB - 在 listB 中(从头节点开始)跳到交叉节点的节点数 评测系统将根据这些输入创建链式数据结构,并将两个头节点 headA 和 headB 传递给你的程序。如果程序能够正确返回相交节点,那么你的解决方案将被 视作正确答案

示例:

image.png

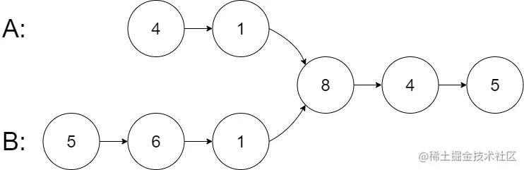
输入:intersectVal = 8, listA = [4,1,8,4,5], listB = [5,6,1,8,4,5], 
skipA = 2, skipB = 3
输出:Intersected at '8'
解释:相交节点的值为 8 (注意,如果两个链表相交则不能为 0)。
从各自的表头开始算起,链表 A 为 [4,1,8,4,5],链表 B 为 [5,6,1,8,4,5]。
在 A 中,相交节点前有 2 个节点;在 B 中,相交节点前有 3 个节点。

image.png

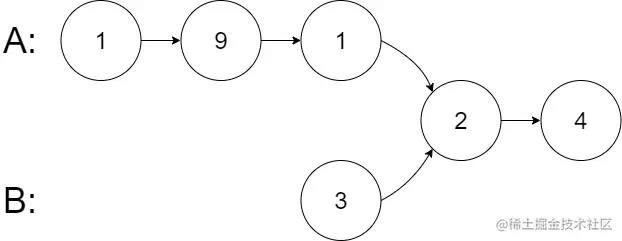
输入:intersectVal = 2, listA = [1,9,1,2,4], listB = [3,2,4], 
skipA = 3, skipB = 1
输出:Intersected at '2'
解释:相交节点的值为 2 (注意,如果两个链表相交则不能为 0)。
从各自的表头开始算起,链表 A 为 [1,9,1,2,4],链表 B 为 [3,2,4]。
在 A 中,相交节点前有 3 个节点;在 B 中,相交节点前有 1 个节点。

image.png

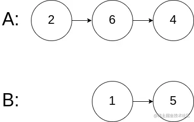
输入:intersectVal = 0, listA = [2,6,4], listB = [1,5], skipA = 3, skipB = 2
输出:null
解释:从各自的表头开始算起,链表 A 为 [2,6,4],链表 B 为 [1,5]。
由于这两个链表不相交,所以 intersectVal 必须为 0,而 skipA 和 skipB 可以是任意值。
这两个链表不相交,因此返回 null 

提示:

  • listA 中节点数目为 m
  • listB 中节点数目为 n
  • 1 <= m, n <= 3 * 104
  • 1 <= Node.val <= 105
  • 0 <= skipA <= m
  • 0 <= skipB <= n
  • 如果 listAlistB 没有交点,intersectVal0
  • 如果 listAlistB 有交点,intersectVal == listA[skipA] == listB[skipB]

思路

这个题目乍一看没什么难度,但是题目描述的太混乱了,看了半天才看明白要求

给定两个链表,找到最开始相交的节点将其返回,如果没有则返回 null

是判断相交的节点,所以要地址相同,不是简单的比较值,最后返回的是节点,不是节点值,这两个有点坑,一开始发现:

  • 首先定义两个变量存储链表长度,两个指针遍历链表
  • 通过一个循环遍历两个链表获取链表长度
  • 获取链表的长度差,然后重置指针
  • 根据长度差移动较长链表的指针指定步数
  • 然后再进行遍历链表,遇到两指针指向的节点相等时,返回该节点
  • 遍历结束则返回 null

代码实现

/**
 * Definition for singly-linked list.
 * function ListNode(val) {
 *    this.val = val;
 *    this.next = null;
 * }
 */

/**
 * @param {ListNode} headA
 * @param {ListNode} headB
 * @return {ListNode}
 */

var getIntersectionNode = function(headA, headB) {

    // 链表长度及指针
    let len1 = 0, len2 = 0, temp1 = headA, temp2 = headB

    // 遍历获取链表长度
    while(temp1 || temp2) {

        if (temp1) {
            len1++
            temp1 = temp1.next
        }

        if (temp2) {
            len2++
            temp2 = temp2.next
        }
    }
    
    // 重置指针
    temp1 = headA
    temp2 = headB
    // 获取长度差
    let skip = Math.abs(len1 - len2)

    // 根据长度差移动较长链表的指针
    while(skip > 0) {
        if (len1 > len2) {
            temp1 = temp1.next
        } else {
            temp2 = temp2.next
        }
        skip--
    }

    // 再次遍历链表
    while(temp1 || temp2) {
        // 指针指向的节点相等则返回该节点
        if(temp1 === temp2) return temp1
        temp1 = temp1.next
        temp2 = temp2.next
    }
    // 最后返回 null
    return null
};

image.png