LeetCode:142. 环形链表 II

74 阅读3分钟

本文已参与「新人创作礼」活动, 一起开启掘金创作之路。

142. 环形链表 II

给定一个链表,返回链表开始入环的第一个节点。 如果链表无环,则返回 null。

为了表示给定链表中的环,我们使用整数 pos 来表示链表尾连接到链表中的位置(索引从 0 开始)。 如果 pos 是 -1,则在该链表中没有环。注意,pos 仅仅是用于标识环的情况,并不会作为参数传递到函数中。

说明:不允许修改给定的链表。

进阶:

你是否可以使用 O(1) 空间解决此题?

示例 1:

​编辑

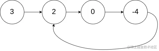
输入:head = [3,2,0,-4], pos = 1
输出:返回索引为 1 的链表节点
解释:链表中有一个环,其尾部连接到第二个节点。


示例 2:

​编辑

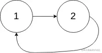
输入:head = [1,2], pos = 0
输出:返回索引为 0 的链表节点
解释:链表中有一个环,其尾部连接到第一个节点。


示例 3:

​编辑

输入:head = [1], pos = -1
输出:返回 null
解释:链表中没有环。

提示:

链表中节点的数目范围在范围 [0, 104] 内
-105 <= Node.val <= 105
pos 的值为 -1 或者链表中的一个有效索引

链接:leetcode-cn.com/problems/li… 

思路 :快慢指针

首先,思考若正常环形链表什么时候相遇?假设链表是个圆环(圆圈◯), A B 两指针从原点0出发,当A到达圆环一半的时候,B应该回到了原点,当A到原点,正好一圈的时候,B也到了原点,两指针相遇

像题目示例1中的有尾巴的环形链表同理,只不过在最后第二次相遇时,相遇点即为:链表开始入环的第一个节点

对于此题:

(1) 快指针fast和慢指针slow每次分别走2步和1步,直至第一次相遇

(2) 然后快指针fast重新指向头结点head

(3) 当快指针fast和慢指针第二次相遇时,相遇点即为:链表开始入环的第一个节点

时间复杂度: O(n) 慢指针每次走一步,一共走了环形链表长度的步数.

空间复杂度: O(1) 只创建了两个指针:slow、fast

func detectCycle(head *ListNode) *ListNode {
    if head == nil || head.Next == nil {
        return nil
    }

    slow, fast := head, head    // 注意:初始都指向head,而不是fast指向head.Next
    for fast.Next != nil && fast.Next.Next != nil {
        slow = slow.Next
        fast = fast.Next.Next
        if fast == slow {           // 第一次相遇后:fast,slow每次各走一步
            fast = head             // fast重新回到起点位置
            for fast != slow {      // 1.不满足条件则表示fast == slow,两指针相遇啦
                fast = fast.Next
                slow = slow.Next
            }
            return slow             // 2.第二次相遇,返回fast或slow
        } 
        // slow = slow.Next         // 一进入外层for循环后就先移动slow和fast,否则slow和fast初始值都是head,满足if判断,但不满足内层for循环,最后直接return fast/slow = head,下标为0,错误!
        // fast = fast.Next.Next
    }
    return nil          //  如果链表没有环存在,则最后会推出最外层for循环,直接返回nil
}