LeetCode 144. 二叉树的前序遍历

101 阅读2分钟

本文已参与「新人创作礼」活动, 一起开启掘金创作之路。

给你二叉树的根节点 root ,返回它节点值的 前序 遍历。

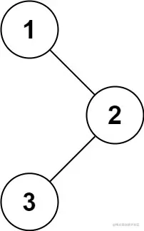
示例 1:
​编辑
输入:root = [1,null,2,3]
输出:[1,2,3]


示例 2:
输入:root = []
输出:[]

示例 3:
输入:root = [1]
输出:[1]

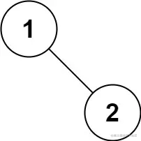
示例 4:
​编辑
输入:root = [1,2]
输出:[1,2]

示例 5:
​编辑
输入:root = [1,null,2]
输出:[1,2]

提示:

树中节点数目在范围 [0, 100] 内
-100 <= Node.val <= 100

进阶:递归算法很简单,你可以通过迭代算法完成吗?

链接:leetcode-cn.com/problems/bi… 

方法1 迭代:

思路:
利用栈(数组)实现,从根节点开始不断向下遍历左子节点,并且将每个节点入栈,直至左子节点不存在(为空)。
接下来,获取栈顶的节点top,获取top的右子节点,从栈中弹出栈顶节点top
以top节点为基准,找top的左子节点,重新开始新一轮遍历
根节点 -> 左子节点(不断向下直至左子节点为空) -> 弹出栈顶节点top -> 获取top右子节点 -> 栈顶元素出栈 -> 以top从头开始新一轮左子节点遍历 -> ...

时间复杂度:
O(n),其中 n 是二叉树的节点数,每个节点都遍历到。

空间复杂度:
O(n),为迭代过程中显式栈的开销,平均情况下为 O(log n),最坏情况下树呈现链状,为 O(n)。

/**
 * Definition for a binary tree node.
 * type TreeNode struct {
 *     Val int
 *     Left *TreeNode
 *     Right *TreeNode
 * }
 */
func preorderTraversal(root *TreeNode) []int {
    array := make([]int, 0)
    stack := make([]*TreeNode, 0)
    for root != nil || len(stack) > 0 {
        // 不断遍历左子树
        for root != nil {
            array = append(array, root.Val) // result, finally return 
            stack = append(stack, root)     // push
            root = root.Left
        }
        // 左子树遍历完了,开始从下往上遍历右子树(每次找栈顶指针,然后pop出栈)
        if len(stack) > 0 {
            root = stack[len(stack) - 1]    // 获取栈顶元素
            root = root.Right
            stack = stack[: len(stack) - 1] // pop
        }
    }

    return array
}

方法2 递归:
待补充~

​编辑