[杨小白]_leetcode_1376. 通知所有员工所需的时间

99 阅读3分钟

携手创作,共同成长!这是我参与「掘金日新计划 · 8 月更文挑战」的第27天,点击查看活动详情

前言

小白算法比较菜,希望能激励我每日更新,从leetcode第一题开始,2022年目标300题,记录从0到1的全过程!!

1376. 通知所有员工所需的时间

这是179场周赛的第三题

1376. 通知所有员工所需的时间

公司里有 n 名员工,每个员工的 ID 都是独一无二的,编号从 0 到 n - 1。公司的总负责人通过 headID 进行标识。

在 manager 数组中,每个员工都有一个直属负责人,其中 manager[i] 是第 i 名员工的直属负责人。对于总负责人,manager[headID] = -1。题目保证从属关系可以用树结构显示。

公司总负责人想要向公司所有员工通告一条紧急消息。他将会首先通知他的直属下属们,然后由这些下属通知他们的下属,直到所有的员工都得知这条紧急消息。

第 i 名员工需要 informTime[i] 分钟来通知它的所有直属下属(也就是说在 informTime[i] 分钟后,他的所有直属下属都可以开始传播这一消息)。

返回通知所有员工这一紧急消息所需要的 分钟数 。

示例 1

输入:n = 1, headID = 0, manager = [-1], informTime = [0]

输出:0

解释:公司总负责人是该公司的唯一一名员工。

示例 2

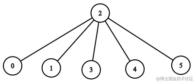
输入:n = 6, headID = 2, manager = [2,2,-1,2,2,2], informTime = [0,0,1,0,0,0]

输出:1

解释:id = 2 的员工是公司的总负责人,也是其他所有员工的直属负责人,他需要 1 分钟来通知所有员工。

image.png

上图显示了公司员工的树结构。

提示:

  • 1 <= n <= 10^5
  • 0 <= headID < n
  • manager.length == n
  • 0 <= manager[i] < n
  • manager[headID] == -1
  • informTime.length == n
  • 0 <= informTime[i] <= 1000
  • 如果员工 i 没有下属,informTime[i] == 0 。
  • 题目 保证 所有员工都可以收到通知。

2.解法一 HashMap

class Solution {
    public int numOfMinutes(int n, int headID, int[] manager, int[] informTime) {
        HashMap<Integer,List<Integer>> map = new HashMap<>();
        for(int i = 0; i < manager.length; i++) {
            if(map.containsKey(manager[i])) {
                map.get(manager[i]).add(i);
            } else {
                List<Integer> list = new ArrayList<>();
                list.add(i);
                map.put(manager[i],list);
            }
        }
        List<Integer> root = map.get(-1);
        return fun(root,map,informTime);
    }
    public int fun(List<Integer> root,HashMap<Integer,List<Integer>> map, int[] informTime) {
        int res = 0;
        for(Integer i : root) {
            if(map.containsKey(i)) {
                List<Integer> list = map.get(i);
                res = Math.max(res, informTime[i] + fun(list, map, informTime));
            }
        }
        return res;
    }
}

提交排名

image.png

解析

理解题目后思路也不算难,首先遍历整个manager,将数据存在hashmap中,map的key是第i个员工,value就是i所管理的员工列表。

写了一个fun函数,计算员工i所管理的员工,通知到他的所有管理的员工的最大时间,加上自己的通知时间作为返回值。(DFS)

直接返回fun(root)就可以了。

2.解法二 数组

class Solution {
    public int numOfMinutes(int n, int headID, int[] manager, int[] informTime) {
        if(n==1) return 0;
        int res = 0;
        int[] times = new int[n];
        times[headID] = -1;
        for(int i = 0; i < times.length; i++) {
            if(times[i] == 0) {
                getTime(i, headID, manager, informTime, times);
            }
            res = Math.max(res, times[i]);
        }
        return res;
    }
    public void getTime(int i, int headID, int[] manager, int[] informTime, int[] times) {
        int upLoad = manager[i];
        if(upLoad == headID) {
            times[i] = informTime[upLoad];
            return;
        }
        if(times[upLoad]==0) {
            getTime(upLoad, headID, manager, informTime, times);
        } 
        times[i] = times[upLoad] + informTime[upLoad];       
    }
}

提交排名

image.png

解析

这里用一个记忆数组,来记录员工i,通知他所有下属的用时。这样,查询过一次的时间就不用再计算第二次了,并再计算过程中,计算出数组中值最大的,就是需要的最大通知时间。

不过map确实有些慢,已经好几次用数组代替map来做能大幅缩短运行时间。以后用map做的题,都要思考一下能否用数组代替。

3.结束

这个题作为当时周赛的第三题,并不算难,周赛的时候能用map来ac也是可以的,map的思路容易想到,但是实现起来还是比数组要复杂一些。gogogo,刷题刷题,每天一道,三年1000道!!!!