AcWing 883. 高斯消元解线性方程组

250 阅读2分钟

携手创作,共同成长!这是我参与「掘金日新计划 · 8 月更文挑战」的第39天,点击查看活动详情

AcWing 883. 高斯消元解线性方程组

输入一个包含 n 个方程 n 个未知数的线性方程组。

方程组中的系数为实数。

求解这个方程组。

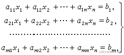
下图为一个包含 m 个方程 n 个未知数的线性方程组示例:

9a504fc2d5628535be9dcb5f90ef76c6a7ef634a.gif

输入格式

第一行包含整数 n。

接下来 n 行,每行包含 n+1 个实数,表示一个方程的 n 个系数以及等号右侧的常数。

输出格式

如果给定线性方程组存在唯一解,则输出共 n 行,其中第 i 行输出第 i 个未知数的解,结果保留两位小数。

如果给定线性方程组存在无数解,则输出 Infinite group solutions

如果给定线性方程组无解,则输出 No solution

数据范围

1 ≤ n ≤ 100,
所有输入系数以及常数均保留两位小数,绝对值均不超过 100。

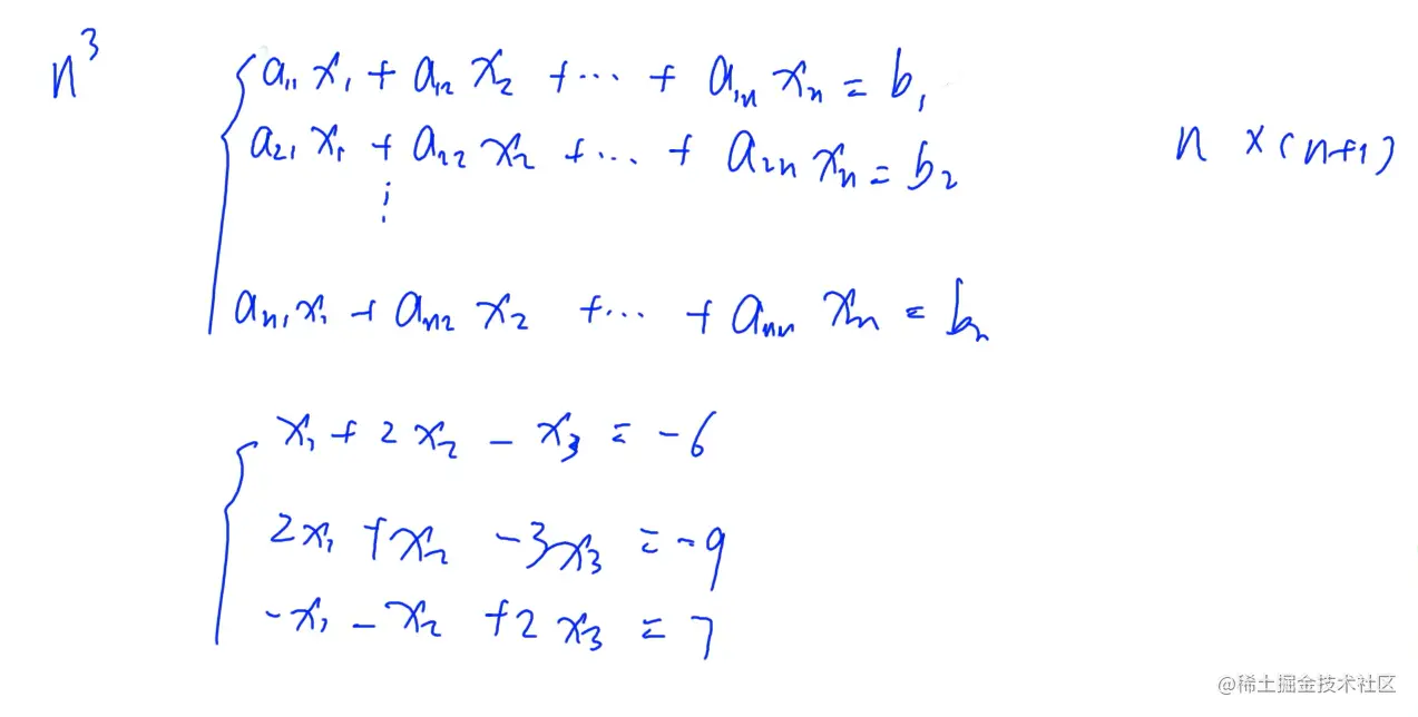
输入样例:

3
1.00 2.00 -1.00 -6.00
2.00 1.00 -3.00 -9.00
-1.00 -1.00 2.00 7.00

输出样例:

1.00
-2.00
3.00

思路

image.png

image.png

image.png

image.png

高斯消元模板

// a[N][N]是增广矩阵
int gauss()
{
    int c, r;
    for (c = 0, r = 0; c < n; c ++ )
    {
        int t = r;
        for (int i = r; i < n; i ++ )   // 找到绝对值最大的行
            if (fabs(a[i][c]) > fabs(a[t][c]))
                t = i;

        if (fabs(a[t][c]) < eps) continue;

        for (int i = c; i <= n; i ++ ) swap(a[t][i], a[r][i]);      // 将绝对值最大的行换到最顶端
        for (int i = n; i >= c; i -- ) a[r][i] /= a[r][c];      // 将当前行的首位变成1
        for (int i = r + 1; i < n; i ++ )       // 用当前行将下面所有的列消成0
            if (fabs(a[i][c]) > eps)
                for (int j = n; j >= c; j -- )
                    a[i][j] -= a[r][j] * a[i][c];

        r ++ ;
    }

    if (r < n)
    {
        for (int i = r; i < n; i ++ )
            if (fabs(a[i][n]) > eps)
                return 2; // 无解
        return 1; // 有无穷多组解
    }

    for (int i = n - 1; i >= 0; i -- )
        for (int j = i + 1; j < n; j ++ )
            a[i][n] -= a[i][j] * a[j][n];

    return 0; // 有唯一解
}

ac代码

#include <iostream>
#include <cstring>
#include <algorithm>
#include <cmath>
using namespace std;
const int N = 110;
const double eps = 1e-8;
int n;
double a[N][N];
int gauss(){  // 高斯消元,答案存于a[i][n]中,0 <= i < n
    int c, r;
    for (c = 0, r = 0; c < n; c ++ ){
        int t = r;
        for (int i = r; i < n; i ++ )  // 找绝对值最大的行
            if (fabs(a[i][c]) > fabs(a[t][c]))
                t = i;
        if (fabs(a[t][c]) < eps) continue;
        for (int i = c; i <= n; i ++ ) swap(a[t][i], a[r][i]);  // 将绝对值最大的行换到最顶端
        for (int i = n; i >= c; i -- ) a[r][i] /= a[r][c];  // 将当前行的首位变成1
        for (int i = r + 1; i < n; i ++ )  // 用当前行将下面所有的列消成0
            if (fabs(a[i][c]) > eps)
                for (int j = n; j >= c; j -- )
                    a[i][j] -= a[r][j] * a[i][c];
        r ++ ;
    }
    if (r < n){
        for (int i = r; i < n; i ++ )
            if (fabs(a[i][n]) > eps)
                return 2; // 无解
        return 1; // 有无穷多组解
    }
    for (int i = n - 1; i >= 0; i -- )
        for (int j = i + 1; j < n; j ++ )
            a[i][n] -= a[i][j] * a[j][n];
    return 0; // 有唯一解
}
int main(){
    scanf("%d", &n);
    for (int i = 0; i < n; i ++ )
        for (int j = 0; j < n + 1; j ++ )
            scanf("%lf", &a[i][j]);
    int t = gauss();
    if (t == 2) puts("No solution");
    else if (t == 1) puts("Infinite group solutions");
    else{
        for (int i = 0; i < n; i ++ ){
            if (fabs(a[i][n]) < eps) a[i][n] = 0;  // 去掉输出 -0.00 的情况
            printf("%.2lf\n", a[i][n]);
        }
    }
    return 0;
}