算法--网络延迟时间

150 阅读1分钟

携手创作,共同成长!这是我参与「掘金日新计划 · 8 月更文挑战」的第25天,点击查看活动详情

题目

leetcode 743. 网络延迟时间

有 n 个网络节点,标记为 1 到 n。

给你一个列表 times,表示信号经过 有向 边的传递时间。 times[i] = (ui, vi, wi),其中 ui 是源节点,vi 是目标节点, wi 是一个信号从源节点传递到目标节点的时间。

现在,从某个节点 K 发出一个信号。需要多久才能使所有节点都收到信号?如果不能使所有节点收到信号,返回 -1 。

 

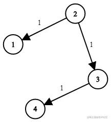
示例 1:

image.png

输入:times = [[2,1,1],[2,3,1],[3,4,1]], n = 4, k = 2
输出:2

示例 2:

输入:times = [[1,2,1]], n = 2, k = 1
输出:1

示例 3:

输入:times = [[1,2,1]], n = 2, k = 2
输出:-1

提示:

1 <= k <= n <= 100 1 <= times.length <= 6000 times[i].length == 3 1 <= ui, vi <= n ui != vi 0 <= wi <= 100 所有 (ui, vi) 对都 互不相同(即,不含重复边)

题解

单源最短路问题就是要在这张图上求出从源点 s 到图上任意其他点的距离最短的路径,一条路径的长度 / 距离大小就是这条路径上所有边的权重和。

问题分析:比较直觉的思路就是贪心算法思想,从离 s 最近的点开始记录,然后找次之的点、再次之点,逐步推进。

首先找出距离源点 s 最近的节点它一定是和 s 直接相连的节点中距离最近的一个,这是因为所有和 s 构成二度关系的节点都会经过一个和 s 直接相连的节点,距离不会短于这个直接相连的节点,所以这个节点一定是所有节点中到 s 距离最近的节点,把这第一个节点记录为 v1。 然后再找出距离 s 次近的节点这时刚找到的 v1 就有可能成为次短路径的一部分了,需要在和 s、v1 直接相邻的节点中,再次找出除了 v1 之外到 s 距离最短的节点,它一定是剩余节点中到 s 最近的节点。

依次类推,就可以求出 s 到所有节点的最短路径了Dijkstra 算法其实就是这样做的,它引入了一种叫做最短路径树的构造方法。按照刚才说的基于贪心的思想逐步找出距源点 s 最近、次近的点,就能得到一个 G 的子图,里面包含了 s 及所有从 s 出发能到达的节点,它们以 s 为根一起构成了一颗树,就是最短路径树。找到了这颗树,也就求出了 s 到所有节点的最短距离和路径了。

var networkDelayTime = function(times, n, k) {
    const INF = Number.MAX_SAFE_INTEGER;
    const g = new Array(n).fill(INF).map(() => new Array(n).fill(INF));
    for (const t of times) {
        const x = t[0] - 1, y = t[1] - 1;
        g[x][y] = t[2];
    }

    const dist = new Array(n).fill(INF);
    dist[k - 1] = 0;
    const used = new Array(n).fill(false);
    for (let i = 0; i < n; ++i) {
        let x = -1;
        for (let y = 0; y < n; ++y) {
            if (!used[y] && (x === -1 || dist[y] < dist[x])) {
                x = y;
            }
        }
        used[x] = true;
        for (let y = 0; y < n; ++y) {
            dist[y] = Math.min(dist[y], dist[x] + g[x][y]);
        }
    }

    let ans = Math.max(...dist);
    return ans === INF ? -1 : ans;
};