手写红黑树,插入、删除

223 阅读24分钟

我正在参加「掘金·启航计划」

红黑树

红黑树是平衡二叉树的一种, 它与完全二叉树相比, 拥有更高效的插入和删除的效率, 还有能媲美完全二叉树的查找效率。

红黑树是由2-3树改进的一种数据结构,红黑树中的所有节点都被赋予一种颜色,要么黑色,要么红色; 因为有红色节点的存在,使得红黑树可以在进行插入、删除的操作的时候进行局部、少量的调整,即可维持红黑树的平衡。

调整操作包括:

  1. 左旋 2. 右旋 3. 变色

红黑树的性质

性质1:每个节点要么是黑色,要么是红色。

性质2: 根节点是黑色。

性质3:每个叶子节点是黑色。

性质4: 每个红色节点的两个自节点一定都是黑色,不能有两个红色节点相连。

性质5: 任意一节点到每个叶子节点的路径都包含数量相同的黑节点,称为黑高。

红黑树的这些性质保证了:从根到叶子的最长的可能路径不多于最短的可能路径的两倍长,因而保证了红黑树是大致平衡的。因为树的查找、添加、删除操作都与树的高度成正比,所以红黑树的这些性质保证了,红黑树在最差的情况下,仍有很好的查找,添加 和删除的效率。

红黑树保持自平衡的操作

1.变色

在必要的情况下,对节点进行变色处理,以维护红黑树的性质。

2.左旋

左旋操作是平衡树高的操作之一,对节点进行左旋操作可以使原节点位置的左子树高度减一,右子树的高度加一。

  /**
  *          p                      p     
  *          |                      |     
  *          n                      y     
  *        /  \      --->         /  \ 
  *       x    y                 n    ry   
  *           / \              /  \       
  *         ly   ry           x   ly     
  * 左旋操作
  * 1. 将y的左子节点ly连接到n右子节点上
  * 2. 修改ly的父节点指向n
  * 3. 将n连接到y的左子节点位置上
  * 4. 修改n的parent指定y
  * 5. 修改y的parent指向n的父节点
  * 6. 修改p本指向n的子节点指向y
  * @param node
  */
 private void leftSpin(Node<K,V> node){
     if(node!=null){
         Node<K,V> rn=node.right;
         Node<K,V> pn=node.parent;
         if(rn!=null){
             //将y的左子节点ly连接到n右子节点上
             node.right=rn.left;
             //修改ly的父节点指向n
             if(rn.left!=null)
                 rn.left.parent=node;
             //将n连接到y的左子节点位置上
             rn.left=node;
             //修改n的parent指定y
             node.parent=rn;
             if(pn!=null){
                 //修改y的parent指向n的父节点
                 rn.parent=pn;
                 //修改p本指向n的子节点指向y
                 if(pn.left==node){
                     pn.left=rn;
                 }else {
                     pn.right=rn;
                 }
             }else {
                 rn.parent=null;
                 this.root=rn;
             }
 ​
         }
 ​
 ​
 ​
     }
 ​
 }
3.右旋

对节点进行右旋操作可以使原节点位置的右子树高度减一,左子树的高度加一。

 /**
  *           p                  p
  *           |                  |
  *           n                  x
  *         /  \               /  \
  *        x    y  --->      lx    n
  *      /  \                     / \
  *    lx   rx                  rx   y
  *
  *
  * 右旋操作
  * 1. 将x的右子节点rx连接到n左子节点上
  * 2. 修改rx的父节点指向n
  * 3. 将n连接到x的右子节点位置上
  * 4. 修改n的parent指定x
  * 5. 修改x的parent指向n的父节点
  * 6. 修改p本指向n的子节点指向x
  * @param node
  */
 private void rightSpin(Node<K,V> node){
     if(node!=null){
         Node<K,V> ln=node.left;
         Node<K,V> pn=node.parent;
 ​
         if(ln!=null){
             //将x的右子节点rx连接到n左子节点上
             node.left=ln.right;
             //修改rx的父节点指向n
             if(ln.right!=null)
                 ln.right.parent=node;
             // 将n连接到x的右子节点位置上
             ln.right=node;
             // 修改n的parent指定x
             node.parent=ln;
 ​
             if(pn!=null){
                 // 修改x的parent指向n的父节点
                 ln.parent=pn;
                 // 修改p本指向n的子节点指向x
                 if(pn.left==node){
                     pn.left=ln;
                 }else {
                     pn.right=ln;
                 }
             }else{
                 ln.parent=null;
                 this.root=ln;
             }
         }
 ​
 ​
     }
 }

插入节点

插入节点,前三种情况都比较简单,只有第四种情况需要调整

1.根节点为空

直接将node设为根节点,并设置为黑色。

2.插入节点的key值已存在

直接更新当前节点的值为新节点的值

3. 父节点为黑色

直接插入红色节点,不影响树平衡。

4. 父节点为红色(父亲节点必定为黑色,性质4)

4.1 叔叔节点为红色

例如:插入节点 11

被插入节点和父亲节点红红相连,违反了性质4

这种情况下,以被插入节点的爷爷节点为根节点的子树范围内,无法通过左旋、右旋、变色操作来保持该子树的黑高不变,就需要向上扩大调整范围。

调整方法: 将父亲节点和叔叔节点染黑。爷爷节点染红。然后把爷爷节点15当成被插入的节点进行修复。

4.2 叔叔结点为黑色或为空

4.2.1 父节点在爷爷节点左侧,子节点在父节点左侧(LL双红)

例如插入31

出现了红红相连的情况,违反了性质4

调整方法:将父亲节点染黑。爷爷节点染红。 对爷爷节点右旋。

4.2.2 父节点在爷爷节点左侧,子节点在父节点右侧(LR双红)

这种情况与4.2.1的情况类似,可以很轻易的转换成4.2.1的情况

调整方法:对父亲节点左旋

就变成了4.2.1的情况

4.2.3 父节点在爷爷节点右侧,子节点在父节点右侧(RR双红)

调整方法:将父亲节点染黑。爷爷节点染红。对爷爷节点左旋。

4.2.4 父节点在爷爷节点右侧,子节点在父节点左侧(RL双红)

调整方法:对父亲节点右旋 就转换成了4.2.3的情况

上述各种情况中 情况2 在插入元素时(putVal(Node<K,V> node)中)处理,其他情况都在fixTree(Node<K,V> node)中处理

插入元素

 ​
 public void putVal(K key,V value){
     // 将key 和 value 封装成Node对象
     Node<K,V> node= new Node<K, V>(key, value);
     // 存入红黑树
     putVal(node);
 ​
 }
 ​
 private void putVal(Node<K,V> node){
     Node<K,V> temp=this.root;
     Node<K,V> parent=null;
     //找要插入元素的父节点
     while(temp!=null){
         parent=temp;
         int cmp=temp.key.compareTo(node.key);
         if(cmp>0){
             temp=temp.left;
         }else if(cmp==0){// 这种情况下,key值已经在集合中存在了,直接用新值替换旧值。
             temp.value=node.value;
             return;
         }else{
             temp=temp.right;
         }
     }
 ​
     //插入元素
     if(parent==null){
         this.root=node;
     }else if(parent.key.compareTo(node.key)>0){
         parent.left=node;
         node.parent=parent;
     }else{
         parent.right=node;
         node.parent=parent;
     }
     // 调用修复红黑树方法。
     fixTree(node);
 ​
 }

修复红黑树

 ​
 public void fixTree(Node<K,V> node){
     // 如果当前节点是黑色,说明这已经是处理过的、合格的红黑树子树了。
     if(!node.isRed()){
         return;
         }
     //1. 如果node是根节点,直接染为黑色
     if(node.parent==null){
         setBlack(node);
         return;
     }
     //父节点
     Node<K,V> parent=node.parent;
     //2. 如果父节点是黑色,就不需要处理,直接插入即可
 ​
     /*
       3. 如果父节点是红色,因为插入的节点是红色,红红不能相连,就需要处理
       3.1. 叔叔节点为红色
             将父亲节点和叔叔节点染黑。爷爷节点染红。
       3.2. 叔叔结点为黑色或为空
          3.2.1. 父节点在爷爷节点左侧,子节点在父节点左侧(LL双红)
                 将父亲节点染黑。爷爷节点染红。对爷爷节点右旋。
          3.2.2. 父节点在爷爷节点左侧,子节点在父节点右侧(LR双红)
                 对父亲节点左旋 然后转-->1.
          3.2.3. 父节点在爷爷节点右侧,子节点在父节点右侧(RR双红)
                 将父亲节点染黑。爷爷节点染红。对爷爷节点左旋。
          3.2.4. 父节点在爷爷节点右侧,子节点在父节点左侧(RL双红)、
                 对父亲节点右旋 然后转-->3.
      */
     if(isRed(parent)){
         //祖父节点
         Node<K,V> grandParent=parent.parent;
         //叔叔节点
         Node<K,V> uncle=null;
         //寻找叔叔节点
         if(grandParent.left==parent){
             uncle=grandParent.right;
         }else{
             uncle=grandParent.left;
         }
 ​
         //3.1 叔叔结点是红色
         if(uncle!=null && isRed(uncle)){
             setBlack(parent);
             setBlack(uncle);
             setRed(grandParent);
             fixTree(grandParent);
             return;
         }else{
             //3.2 叔叔节点是黑色或为空
 ​
             //3.2.1 和 3.2.2 父亲节点是祖父节点的左孩子
             if(parent==grandParent.left){
                 //3.2.2 当前节点是父节点的右孩子
                 if(node==parent.right){
                     // 对当前节点的父亲节点进行左旋操作,此时情况节就转变为3.2.1了。
                     leftSpin(parent);
                     // 更改当前节点。
                     fixTree(node.left);
                     return;
                 }else{//3.2.1 当前节点是父节点的左孩子
                     setBlack(parent);
                     setRed(grandParent);
                     // 对祖父节点右旋
                     rightSpin(grandParent);
                     //更改当前节点
                     fixTree(parent);
                     return;
                 }
 ​
 ​
             }else {//父亲节点是祖父节点的右孩子
                 //3.2.4 当前节点是父节点的左孩子
                 if(node==parent.left){
                     // 对当前节点的父亲节点进行右旋操作,此时情况节就转变为3.2.3了。
                     rightSpin(parent);
                     // 更改当前节点。
                     fixTree(node.right);
                     return;
                 }else{//3.2.4 当前节点是父节点的右孩子
                     setBlack(parent);
                     setRed(grandParent);
                     // 对祖父节点左旋
                     leftSpin(grandParent);
                     //更改当前节点
                     fixTree(parent);
                     return;
                 }
             }
         }
     }
 ​
 }

删除节点

删除节点的流程

  1. 如果被删除节点是叶子节点,可以直接删除。
  2. 如果删除节点是非叶子节点,那么需要找到他的前驱或后继节点,来替换掉被删除节点的键和值,再删除他的前驱或后继节点。

 public Node<K,V> deleteNode(Node<K,V> node){
     Node<K,V> p=node.parent;
     // 如果是叶子节点,可以直接删除
     if(node.left==null && node.right==null){
         //  若被删除节点是红色,可以直接删除,如果是黑色,直接删除会影响黑高,所以要对红黑树进行修复处理
         if(!node.red)
             fixDelete(node);
         if(p==null) root=null;  //被删除节点是根节点的话,说明root没有子节点,直接将root置空即可
         else{
             //否则就正常地删除,
             node.parent=null;
             if(p.left==node){
                 p.left=null;
             }else {
                 p.right=null;
             }
         }
     }else{  // 如果被删除节点不是叶子节点,就找到node的前驱/后继节点,交换node与前驱/后继节点的值,再删除前驱/后继节点
         Node<K,V> e=getSuccessor(node);
         // 交换被删除节点与继承者节点的键
         K tempKey=e.key;
         e.key=node.key;
         node.key=tempKey;
         // 交换被删除节点与继承者节点的值
         V tempVal=e.value;
         e.value=node.value;
         node.value=tempVal;
         //删除被继承节点
         deleteNode(e);
 ​
     }
 ​
     return node;
 ​
 }
 //获取node的前驱或后继节点
 Node<K,V> getSuccessor(Node<K,V> node){
     Node<K,V> e;
     //前驱节点: 左子树中,最靠右的叶子节点
     //后继节点: 右子树中,最靠左的叶子节点
     //若左子树不为空,开始寻找node的前驱节点
     if(node.left!=null){
         e=node.left;
         //寻找左子树中最靠右的节点。
         while(e.right!=null){
             e=e.right;
         }
     }else{//若左子树为空,开始寻找node的后继节点节点
         e=node.right;
         //寻找右子树中最靠左的节点
         while(e.left!=null) {
             e = e.left;
         }
     }
     return e;
 }

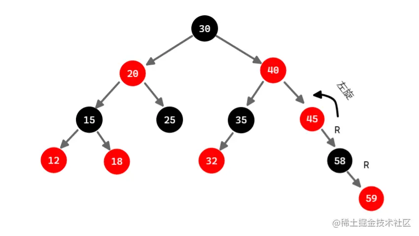
修复删除后的红黑树

1.被删除节点是红色

这种情况不影响红黑树的性质,可以直接删除

2.被删除节点是黑色

2.1. 兄弟节点是黑色,且兄弟节点有红色的子节点
2.1.1. 兄弟节点的左子节点是红色

此时父亲节点的右子树为空,左子树为ll(兄弟节点在父亲节点的左侧,兄弟节点的左子节点在兄弟节点的左侧 left-left),

调整方法:将兄弟节点的颜色染为原来父亲节点的颜色,再将兄弟节点的左子节点和父亲节点染为黑色, 再对父亲节点右旋。

这样此子树的黑高就与删除前的黑高相等,此子树与删除前的子树相比,少了一个红色节点。

2.1.2. 兄弟节点的右子节点是红色

此时父亲节点的右子树为空,左子树为lR(left-right)

  对兄弟节点进行左旋,并交换兄弟节点与兄弟节点的右子节点的颜色,

就可转换为2.1.1 的情况

2.2.兄弟节点是黑色,且无兄弟节点
2.2.1. 父节点是红色

将父亲节点染为黑色,兄弟节点染为红色即可

2.2.2. 父节点是黑色

这种情况下,被删除节点、父亲节点、和兄弟节点都是黑色,被删除节点被删除后,不能在以父节点为根节点的范围内,保持黑高不变, ​ 就需要扩大调整的范围。

具体操作为:将兄弟节点染为红色(以父节点为根节点的子树黑高减一),再以父亲节点为删除节点,修复红黑树。

2.3. 兄弟节点是红色

父节点必定为黑色(性质4),且必定有黑色子节点,否则黑高不平衡(性质5)

父亲节点染为红色,兄弟节点染为黑色,再对父亲节点右旋,

此时就转换成了2.2.1的情况

 public void fixDelete(Node<K,V> node){
     //记录下父节点
     Node<K,V> parent=node.parent;
     //兄弟节点
     Node<K,V> bro=null;
 ​
     if(parent==null){
         node.red=false;
         return;
     }
     // 如果被删除节点是父节点的右子树
     if(node==parent.right){
         // 那么兄弟节点就是父节点的左子节点
         bro=parent.left;
 ​
         // 2. 被删除节点是黑色
         if(isBlack(bro)){
             if(isRed(bro.left)){//   2.1.1. 兄弟节点的左子节点是红色
                 bro.red=parent.red; //兄弟节点的颜色设为与父亲节点相同
                 bro.left.red=false; //兄弟节点的左子节点染为黑色。
                 parent.red=false;   //将父亲节点染为黑色。
                 rightSpin(parent);  //对父亲节点右旋,
 ​
             }else if(isRed(bro.right)){    //  2.1.2. 兄弟节点的右子节点是红色
                 bro.red=true;  // 将兄弟节点与兄弟节点的右子节点交换颜色。
                 bro.right.red=false;
                 leftSpin(bro);    // 再对兄弟节点左旋,情况就转换成了2.1.1
                 fixDelete(node);  // 再次调用fixDelete()方法,处理2.1.1的情况
                 return;
 ​
             }else {  //  2.2.兄弟节点是黑色,且无兄弟节点
                 //2.2.1. 父节点是红色
                 if(parent.red){
                     parent.red=false;   //这种情况下并不影响黑高,这样处理只是模拟2-3树的处理方式,将父亲节点下沉
                     bro.red=true;
 ​
                 }else{//    2.2.2. 父节点是黑色
                     bro.red=true;   //将兄弟节点染为红色后,以parent节点为根节点的子树黑高减一,此时需要扩大调整范围,以保证红黑树黑高平衡
                     fixDelete(parent);  //以父节点为被删除节点,调整子树。
                 }
             }
 ​
 ​
         }else{//    2.3. 兄弟节点是红色
             parent.red=true;    //父亲节点染为红色。
             bro.red=false;      //兄弟节点染为黑色
             rightSpin(parent);  //右旋父亲节点,就转变成了2.2.1的情况
             fixDelete(node);    //再次调用fixDelete()函数,修复2.2.1的情况
 ​
         }
 ​
     }else{
 ​
         bro=parent.right;
 ​
         if(isBlack(bro)){
 ​
             if(isRed(bro.right)){
                 bro.red=parent.red;
                 bro.right.red=false;
                 parent.red=false;
                 leftSpin(parent);
 ​
             }else if(isRed(bro.left)){
                 bro.red=true;
                 bro.left.red=false;
                 rightSpin(bro);
                 fixDelete(node);
                 return;
 ​
             }else {
 ​
 ​
                 if(parent.red){
                     parent.red=false;
                     bro.red=true;
 ​
                 }else{
                     bro.red=true;
                     fixDelete(parent);
                 }
             }
 ​
 ​
         }else{
             parent.red=true;
             bro.red=false;
             leftSpin(parent);
             fixDelete(node);
 ​
         }
 ​
     }
 ​
 ​
 }

完整代码

RBTree

 //package src.top.goodbye.test.MapTest;
 ​
 /**
  * 红黑树的性质
  * 1)每个结点要么是红的,要么是黑的。
  * 2)根结点一定是是黑的。
  * 3)所有叶子结点(叶子结点即指树尾端NIL指针或NULL结点)一定是黑的。
  * 4)如果一个结点是红的,那么它的俩个子结点一定都是黑的。
  * 5)从任一结点出发,到叶子结点的每一条路径,都包含相同数目的黑结点。
  *
  */
 public class RBTree<K extends Comparable<K>,V> {
     private Node<K,V> root;
 ​
     static class Node<K extends Comparable<K>,V>{
         private Node<K,V> parent;
         private Node<K,V> left;
         private Node<K,V> right;
         private K key;
         private V value;
         // 红黑树默认结点是红色,因为加红色节点不会影响黑高。
         private boolean red = true;
 ​
         public Node() {
         }
 ​
         public Node(Node<K,V> parent, K key, V value) {
             this.parent = parent;
             this.key = key;
             this.value = value;
         }
 ​
         public Node(Node<K,V> parent, K key, V value, boolean red) {
             this.parent = parent;
             this.key = key;
             this.value = value;
             this.red = red;
         }
 ​
 ​
         public Node(K key, V value) {
             this.key=key;
             this.value=value;
         }
 ​
         public Node<K, V> getParent() {
             return parent;
         }
 ​
         public Node<K, V> getLeft() {
             return left;
         }
 ​
         public Node<K, V> getRight() {
             return right;
         }
 ​
         public K getKey() {
             return key;
         }
 ​
         public V getValue() {
             return value;
         }
 ​
         public boolean isRed() {
             return red;
         }
     }
     static class NullNodeException extends Exception {
         public NullNodeException() {
             super("空结点异常");
         }
     }
 ​
     public Node<K, V> getRoot() {
         return root;
     }
 ​
     //-------------------------辅助方法-----------------------------//
     /**
      * isRed(node); isBlack(node); setRed(node); setBlack(node); parentOf(node); inOrderPrint();
      */
 ​
     public boolean isRed(Node<K,V> node){
         if(node!=null)
             return node.red;
         return false;
 ​
     }
     public boolean isBlack(Node<K,V> node){
         if(node!=null)
             return !node.red;
         return true;
 ​
     }
 ​
     public void setRed(Node<K,V> node){
         if(node!=null)
             node.red=true;
     }
 ​
     public void setBlack(Node<K,V> node){
         if(node!=null)
             node.red=false;
     }
 ​
     public Node<K,V> parentOf(Node<K,V> node){
         if(node!=null && node.parent!=null)
             return node.parent;
         return null;
     }
 ​
     public void inOrderPrint(Node<K,V> node){
         if(node !=null){
             inOrderPrint(node.left);
             System.out.println("key:"+node.key +" value:"+node.value+" "+(node.red==true?"R":"B")+"\t");
             inOrderPrint(node.right);
         }
     }
 ​
     public void inOrderPrint(){
         inOrderPrint(root);
     }
 ​
     //----------------------------左旋,右旋-----------------------------//
 ​
     /**
      *          p                      p
      *          |                      |
      *          n                      y
      *        /  \      --->         /  \
      *       x    y                 n    ry
      *           / \              /  \
      *         ly   ry           x   ly
      * 左旋操作
      * 1. 将y的左子节点ly连接到n右子节点上
      * 2. 修改ly的父节点指向n
      * 3. 将n连接到y的左子节点位置上
      * 4. 修改n的parent指定y
      * 5. 修改y的parent指向n的父节点
      * 6. 修改p本指向n的子节点指向y
      * @param node
      */
     private void leftSpin(Node<K,V> node){
         if(node!=null){
             Node<K,V> rn=node.right;
             Node<K,V> pn=node.parent;
             if(rn!=null){
                 //将y的左子节点ly连接到n右子节点上
                 node.right=rn.left;
                 //修改ly的父节点指向n
                 if(rn.left!=null)
                     rn.left.parent=node;
                 //将n连接到y的左子节点位置上
                 rn.left=node;
                 //修改n的parent指定y
                 node.parent=rn;
                 if(pn!=null){
                     //修改y的parent指向n的父节点
                     rn.parent=pn;
                     //修改p本指向n的子节点指向y
                     if(pn.left==node){
                         pn.left=rn;
                     }else {
                         pn.right=rn;
                     }
                 }else {
                     rn.parent=null;
                     this.root=rn;
                 }
 ​
             }
 ​
 ​
 ​
         }
 ​
     }
     /**
      *          p                  p
      *          |                  |
      *          n                  x
      *        /  \               /  \
      *       x    y  --->      lx    n
      *     /  \                     / \
      *   lx   rx                  rx   y
      *
      *
      * 右旋操作
      * 1. 将x的右子节点rx连接到n左子节点上
      * 2. 修改rx的父节点指向n
      * 3. 将n连接到x的右子节点位置上
      * 4. 修改n的parent指定x
      * 5. 修改x的parent指向n的父节点
      * 6. 修改p本指向n的子节点指向x
      * @param node
      */
     private void rightSpin(Node<K,V> node){
         if(node!=null){
             Node<K,V> ln=node.left;
             Node<K,V> pn=node.parent;
 ​
             if(ln!=null){
                 //将x的右子节点rx连接到n左子节点上
                 node.left=ln.right;
                 //修改rx的父节点指向n
                 if(ln.right!=null)
                     ln.right.parent=node;
                 // 将n连接到x的右子节点位置上
                 ln.right=node;
                 // 修改n的parent指定x
                 node.parent=ln;
 ​
                 if(pn!=null){
                     // 修改x的parent指向n的父节点
                     ln.parent=pn;
                     // 修改p本指向n的子节点指向x
                     if(pn.left==node){
                         pn.left=ln;
                     }else {
                         pn.right=ln;
                     }
                 }else{
                     ln.parent=null;
                     this.root=ln;
                 }
             }
 ​
 ​
         }
     }
 ​
     public void putVal(K key,V value){
         Node<K,V> node= new Node<K, V>(key, value);
         putVal(node);
 ​
     }
 ​
     private void putVal(Node<K,V> node){
         Node<K,V> temp=this.root;
         Node<K,V> parent=null;
         //找要插入元素的父节点
         while(temp!=null){
             parent=temp;
             int cmp=temp.key.compareTo(node.key);
             if(cmp>0){
                 temp=temp.left;
             }else if(cmp==0){
                 temp.value=node.value;
                 return;
             }else{
                 temp=temp.right;
             }
         }
 ​
         //插入元素
         if(parent==null){
             this.root=node;
         }else if(parent.key.compareTo(node.key)>0){
             parent.left=node;
             node.parent=parent;
         }else{
             parent.right=node;
             node.parent=parent;
         }
         // 调用修复红黑树方法。
         fixTree(node);
 ​
     }
 ​
     /**
      * 1. 根节点为空
      *
      *        直接将node设为根节点,并设置为黑色。
      *
      * 2. 插入节点的key值已存在
      *
      *        直接更新当前节点的值为新节点的值
      *
      * 3. 父节点为黑色
      *
      *        直接插入红色节点,不影响树平衡。
      *
      * 4. 父节点为红色
      *
      *    4.1. 叔叔节点为红色
      *
      *       将父亲节点和叔叔节点染黑。爷爷节点染红。
      *
      *    4.2. 叔叔结点为黑色或为空
      *
      *       4.2.1. 父节点在爷爷节点左侧,子节点在父节点左侧(LL双红)
      *
      *          将父亲节点染黑。爷爷节点染红。对爷爷节点右旋。
      *
      *       4.2.2. 父节点在爷爷节点左侧,子节点在父节点右侧(LR双红)
      *
      *          对父亲节点左旋 然后转-->4.2.1..
      *
      *       4.2.3. 父节点在爷爷节点右侧,子节点在父节点右侧(RR双红)
      *
      *          将父亲节点染黑。爷爷节点染红。对爷爷节点左旋。
      *
      *       4.2.4. 父节点在爷爷节点右侧,子节点在父节点左侧(RL双红)、
      *
      *          对父亲节点右旋 然后转--> 4.2.3.
      * @param node
      */
 ​
     public void fixTree(Node<K,V> node){
         // 如果当前节点是黑色,说明这已经是处理过的、合格的红黑树子树了。
         if(!node.isRed()){
             return;
         }
         //1. 如果node是根节点,直接染为黑色
         if(node.parent==null){
             setBlack(node);
             return;
         }
         //父节点
         Node<K,V> parent=node.parent;
         //2. 如果父节点是黑色,就不需要处理,直接插入即可
 ​
         /*
           4. 如果父节点是红色,因为插入的节点是红色,红红不能相连,就需要处理
           4.1. 叔叔节点为红色
                 将父亲节点和叔叔节点染黑。爷爷节点染红。
           4.2. 叔叔结点为黑色或为空
              4.2.1. 父节点在爷爷节点左侧,子节点在父节点左侧(LL双红)
                     将父亲节点染黑。爷爷节点染红。对爷爷节点右旋。
              4.2.2. 父节点在爷爷节点左侧,子节点在父节点右侧(LR双红)
                     对父亲节点左旋 然后转-->3.2.1.
              4.2.3. 父节点在爷爷节点右侧,子节点在父节点右侧(RR双红)
                     将父亲节点染黑。爷爷节点染红。对爷爷节点左旋。
              4.2.4. 父节点在爷爷节点右侧,子节点在父节点左侧(RL双红)、
                     对父亲节点右旋 然后转-->3.2.3.
          */
         if(isRed(parent)){
             //祖父节点
             Node<K,V> grandParent=parent.parent;
             //叔叔节点
             Node<K,V> uncle=null;
             //寻找叔叔节点
             if(grandParent.left==parent){
                 uncle=grandParent.right;
             }else{
                 uncle=grandParent.left;
             }
 ​
             //3.1 叔叔结点是红色
 ​
 ​
 ​
             if(uncle!=null && isRed(uncle)){
                 setBlack(parent);
                 setBlack(uncle);
                 setRed(grandParent);
                 fixTree(grandParent);
                 System.out.println("h");
                 return;
             }else{
                 //3.2 叔叔节点是黑色或为空
 ​
                 //3.2.1 和 3.2.2 父亲节点是祖父节点的左孩子
                 if(parent==grandParent.left){
                     //3.2.2 当前节点是父节点的右孩子
                     if(node==parent.right){
                         // 对当前节点的父亲节点进行左旋操作,此时情况节就转变为3.2.1了。
                         leftSpin(parent);
                         // 更改当前节点。
                         fixTree(node.left);
                         return;
                     }else{//3.2.1 当前节点是父节点的左孩子
                         setBlack(parent);
                         setRed(grandParent);
                         // 对祖父节点右旋
                         rightSpin(grandParent);
                         //更改当前节点
                         //fixTree(parent);
                         return;
                     }
 ​
 ​
                 }else {//父亲节点是祖父节点的右孩子
                     //3.2.4 当前节点是父节点的左孩子
                     if(node==parent.left){
                         // 对当前节点的父亲节点进行右旋操作,此时情况节就转变为3.2.3了。
                         rightSpin(parent);
                         // 更改当前节点。
                         fixTree(node.right);
                         return;
                     }else{//3.2.4 当前节点是父节点的右孩子
                         setBlack(parent);
                         setRed(grandParent);
                         // 对祖父节点左旋
                         leftSpin(grandParent);
                         //更改当前节点
                         fixTree(parent);
                         return;
                     }
                 }
             }
 ​
         }
 ​
 ​
     }
     private Node<K,V> getNode(K key){
         Node<K,V> node=this.root;
         int cmp=0;
         while(node!=null){
             cmp=node.key.compareTo(key);
             if(cmp>0){
                 node=node.left;
             }else if(cmp<0){
                 node=node.right;
             }else {
                 return node;
             }
 ​
         }
         return null;
     }
 ​
     public Node<K,V> deleteNode(K key){
         Node<K,V> node=getNode(key);
         if(node!=null)
             deleteNode(node);
 ​
         return node;
     }
 ​
 ​
     /**
      * 删除指定节点node,
      * 若node是叶子节点,则直接删除即可,
      * 若node不是叶子节点,则需要找到node的前驱或后继节点(这里称为继承者节点),交换继承者节点与被删除节点的键和值(key-value),再去删除继承者节点。
      * 交换继承者节点与被删除节点的键和值后,红黑树仍能保持有序。
      * @param node
      * @return
      */
     public Node<K,V> deleteNode(Node<K,V> node){
         Node<K,V> p=node.parent;
         // 如果是叶子节点,可以直接删除
         if(node.left==null && node.right==null){
             //  若被删除节点是红色,可以直接删除,如果是黑色,直接删除会影响黑高,所以要对红黑树进行修复处理
             if(!node.red)
                 fixDelete(node);
             if(p==null) root=null;  //被删除节点是根节点的话,说明root没有子节点,直接将root置空即可
             else{
                 //否则就正常地删除,
                 node.parent=null;
                 if(p.left==node){
                     p.left=null;
                 }else {
                     p.right=null;
                 }
             }
         }else{  // 如果被删除节点不是叶子节点,就找到node的前驱/后继节点,交换node与前驱/后继节点的值,再删除前驱/后继节点
             Node<K,V> e=getSuccessor(node);
             // 交换被删除节点与继承者节点的键
             K tempKey=e.key;
             e.key=node.key;
             node.key=tempKey;
             // 交换被删除节点与继承者节点的值
             V tempVal=e.value;
             e.value=node.value;
             node.value=tempVal;
             //删除被继承节点
             deleteNode(e);
 ​
         }
 ​
         return node;
 ​
     }
 ​
 ​
     /**
      * 寻找node的继承者节点。优先返回node的前驱节点,若node没有前驱节点则返回node的后继节点,如果node是叶子节点,则返回null。
      * @param node
      * @return
      */
     Node<K,V> getSuccessor(Node<K,V> node){
         Node<K,V> e;
         //前驱节点: 左子树中,最靠右的叶子节点
         //后继节点: 右子树中,最靠左的叶子节点
         //若左子树不为空,开始寻找node的前驱节点
         if(node.left!=null){
             e=node.left;
             //寻找左子树中最靠右的节点。
             while(e.right!=null){
                 e=e.right;
             }
         }else{//若左子树为空,开始寻找node的后继节点节点
             e=node.right;
             //寻找右子树中最靠左的节点
             while(e.left!=null) {
                 e = e.left;
             }
         }
         return e;
     }
 ​
     /**
      * 在删除操作中,如果被删除节点不是叶子节点,则会删除它的前驱或后继节点,直到被删除节点是叶子节点,所以被删除节点一定是叶子节点。
      * 删除节点后,要修复红黑树的那些性质?
      * 主要修复的是性质4,和性质5 即:
      *      性质4: 每个红色节点的两个自节点一定都是黑色,不能有两个红色节点相连。
      *      性质5: 任意节点到每个叶子节点的路径都包含数量相同的黑节点,称为黑高。
      * 先来考虑,如何保证红黑树的黑高?
      *  红黑树中主要依靠红色节点来平衡黑高,如果以被删除节点的父节点为根节点的子树范围内,有红色节点存在,那么就可以将调整范围控制在此范围内。
      *  如果以被删除节点的父节点为根节点的子树范围内,没有有红色节点存在,就需要扩大调整范围。
      * 对具体情况进行分析(以被删除节点是父节点的右子树为例)
      *  1. 被删除节点是红色
      *      这种情况不影响红黑树的性质,可以直接删除
      *  2. 被删除节点是黑色
      *      2.1. 兄弟节点是黑色,且兄弟节点有红色的子节点
      *          2.1.1. 兄弟节点的左子节点是红色
      *              此时父亲节点的右子树为空,左子树为ll(兄弟节点在父亲节点的左侧,兄弟节点的左子节点在兄弟节点的左侧 left-left),
      *              调整方法:将兄弟节点的颜色染为原来父亲节点的颜色,再将兄弟节点的左子节点和父亲节点染为黑色, 再对父亲节点右旋。
      *              这样此子树的黑高就与删除前的黑高相等,此子树与删除前的子树相比,少了一个红色节点。
      *
      *          2.1.2. 兄弟节点的右子节点是红色
      *              此时父亲节点的右子树为空,左子树为lR(left-right)
      *              对兄弟节点进行左旋,并交换兄弟节点与兄弟节点的右子节点的颜色,就可转换为2.1.1 的情况
      *      2.2.兄弟节点是黑色,且无兄弟节点
      *          2.2.1. 父节点是红色
      *              将父亲节点染为黑色,兄弟节点染为红色即可
      *          2.2.2. 父节点是黑色
      *              这种情况下,被删除节点、父亲节点、和兄弟节点都是黑色,被删除节点被删除后,不能在以父节点为根节点的范围内,保持黑高不变,
      *              就需要扩大调整的范围。
      *              具体操作为:将兄弟节点染为红色(以父节点为根节点的子树黑高减一),再以父亲节点为删除节点,修复红黑树。
      *      2.3. 兄弟节点是红色(父节点必定为黑色(性质4),且必定有黑色子节点,否则黑高不平衡(性质5))
      *          父亲节点染为红色,兄弟节点染为黑色,再对父亲节点右旋,此时就转换成了2.2.1的情况
      *
      * @param node
      */
 ​
     public void fixDelete(Node<K,V> node){
         //记录下父节点
         Node<K,V> parent=node.parent;
         //兄弟节点
         Node<K,V> bro=null;
 ​
         if(parent==null){
             node.red=false;
             return;
         }
         // 如果被删除节点是父节点的右子树
         if(node==parent.right){
             // 那么兄弟节点就是父节点的左子节点
             bro=parent.left;
 ​
             // 2. 被删除节点是黑色
             if(isBlack(bro)){
                 if(isRed(bro.left)){//   2.1.1. 兄弟节点的左子节点是红色
                     bro.red=parent.red; //兄弟节点的颜色设为与父亲节点相同
                     bro.left.red=false; //兄弟节点的左子节点染为黑色。
                     parent.red=false;   //将父亲节点染为黑色。
                     rightSpin(parent);  //对父亲节点右旋,
 ​
                 }else if(isRed(bro.right)){    //  2.1.2. 兄弟节点的右子节点是红色
                     bro.red=true;  // 将兄弟节点与兄弟节点的右子节点交换颜色。
                     bro.right.red=false;
                     leftSpin(bro);    // 再对兄弟节点左旋,情况就转换成了2.1.1
                     fixDelete(node);  // 再次调用fixDelete()方法,处理2.1.1的情况
                     return;
 ​
                 }else {  //  2.2.兄弟节点是黑色,且无兄弟节点
                     //2.2.1. 父节点是红色
                     if(parent.red){
                         parent.red=false;   //这种情况下并不影响黑高,这样处理只是模拟2-3树的处理方式,将父亲节点下沉
                         bro.red=true;
 ​
                     }else{//    2.2.2. 父节点是黑色
                         bro.red=true;   //将兄弟节点染为红色后,以parent节点为根节点的子树黑高减一,此时需要扩大调整范围,以保证红黑树黑高平衡
                         fixDelete(parent);  //以父节点为被删除节点,调整子树。
                     }
                 }
 ​
 ​
             }else{//    2.3. 兄弟节点是红色
                 parent.red=true;    //父亲节点染为红色。
                 bro.red=false;      //兄弟节点染为黑色
                 rightSpin(parent);  //右旋父亲节点,就转变成了2.2.1的情况
                 fixDelete(node);    //再次调用fixDelete()函数,修复2.2.1的情况
 ​
             }
 ​
         }else{
 ​
             bro=parent.right;
 ​
             if(isBlack(bro)){
 ​
                 if(isRed(bro.right)){
                     bro.red=parent.red;
                     bro.right.red=false;
                     parent.red=false;
                     leftSpin(parent);
 ​
                 }else if(isRed(bro.left)){
                     bro.red=true;
                     bro.left.red=false;
                     rightSpin(bro);
                     fixDelete(node);
                     return;
 ​
                 }else {
 ​
 ​
                     if(parent.red){
                         parent.red=false;
                         bro.red=true;
 ​
                     }else{
                         bro.red=true;
                         fixDelete(parent);
                     }
                 }
 ​
 ​
             }else{
                 parent.red=true;
                 bro.red=false;
                 leftSpin(parent);
                 fixDelete(node);
 ​
             }
 ​
         }
 ​
 ​
     }
 ​
 ​
 ​
 ​
 ​
 }

TreeOperation

package src.top.goodbye.test.MapTest;

/**
 * @Auther: csp1999
 * @Date: 2020/11/09/15:10
 * @Description: 打印红黑树的工具类
 */
public class TreeOperation {
    /*
           树的结构示例:
              1
            /   \
          2       3
         / \     / \
        4   5   6   7
    */

    // 用于获得树的层数
    public static int getTreeDepth(RBTree.Node root) {
        return root == null ? 0 : (1 + Math.max(getTreeDepth(root.getLeft()), getTreeDepth(root.getRight())));
    }


    private static void writeArray(RBTree.Node currNode, int rowIndex, int columnIndex, String[][] res, int treeDepth) {
        // 保证输入的树不为空
        if (currNode == null) return;
        // 先将当前节点保存到二维数组中
        res[rowIndex][columnIndex] = String.valueOf(currNode.getKey()+"-"+(currNode.isRed()?"R":"B") /*+ "-" + (currNode.isColor() ? "R" : "B") + ""*/);

        // 计算当前位于树的第几层
        int currLevel = ((rowIndex + 1) / 2);
        // 若到了最后一层,则返回
        if (currLevel == treeDepth) return;
        // 计算当前行到下一行,每个元素之间的间隔(下一行的列索引与当前元素的列索引之间的间隔)
        int gap = treeDepth - currLevel - 1;

        // 对左儿子进行判断,若有左儿子,则记录相应的"/"与左儿子的值
        if (currNode.getLeft() != null) {
            res[rowIndex + 1][columnIndex - gap] = "/";
            writeArray(currNode.getLeft(), rowIndex + 2, columnIndex - gap * 2, res, treeDepth);
        }

        // 对右儿子进行判断,若有右儿子,则记录相应的""与右儿子的值
        if (currNode.getRight() != null) {
            res[rowIndex + 1][columnIndex + gap] = "\";
            writeArray(currNode.getRight(), rowIndex + 2, columnIndex + gap * 2, res, treeDepth);
        }
    }


    public static void show(RBTree.Node root) {
        if (root == null) System.out.println("EMPTY!");
        // 得到树的深度
        int treeDepth = getTreeDepth(root);

        // 最后一行的宽度为2的(n - 1)次方乘3,再加1
        // 作为整个二维数组的宽度
        int arrayHeight = treeDepth * 2 - 1;
        int arrayWidth = (2 << (treeDepth - 2)) * 3 + 1;
        // 用一个字符串数组来存储每个位置应显示的元素
        String[][] res = new String[arrayHeight][arrayWidth];
        // 对数组进行初始化,默认为一个空格
        for (int i = 0; i < arrayHeight; i++) {
            for (int j = 0; j < arrayWidth; j++) {
                res[i][j] = " ";
            }
        }

        // 从根节点开始,递归处理整个树
        // res[0][(arrayWidth + 1)/ 2] = (char)(root.val + '0');
        writeArray(root, 0, arrayWidth / 2, res, treeDepth);

        // 此时,已经将所有需要显示的元素储存到了二维数组中,将其拼接并打印即可
        for (String[] line : res) {
            StringBuilder sb = new StringBuilder();
            for (int i = 0; i < line.length; i++) {
                sb.append(line[i]);
                if (line[i].length() > 1 && i <= line.length - 1) {
                    i += line[i].length() > 4 ? 2 : line[i].length() - 1;
                }
            }
            System.out.println(sb.toString());
        }
    }
}

参考连接

【数据结构】史上最好理解的红黑树讲解,让你彻底搞懂红黑树

小刘讲源码-红黑树原理源码讲解(java)

TreeOperation 打印二叉树源码

最后附上高清修复红黑树的流程图

修复插入操作的流程图

修复删除操作的流程图