编译器优化那些事儿(5):寄存器分配

818 阅读7分钟
  1. 引言
  2. 概念介绍
  3. 活跃变量分析与图着色算法
  4. 线性扫描
  5. llvm中实现
  6. 参考

引言

本文首先会简述用到的基本概念,然后借助一个例子介绍活跃变量分析和图着色算法,最后会介绍线性扫描算法及其llvm12中实现。

概念介绍

在介绍算法之前,我们回顾下基本概念:

  • |X|:X的度数,(无向图中)节点的邻居个数。
  • CFG:控制流图。
  • successor:本文指CFG中基本块的后继。
  • 四元式:(op,result,arg1,arg2),比如常见的a=b+c就可以看作四元式(+,a,b,c)。
  • SSA(Static Single Assignment):静态单赋值。
  • use/def:举个例子,对于指令n: c <- c+b来说 use[n]={c,b},def[n]={c}。
  • live-in:当以下任一条件满足时,则称变量a在节点n中是live-in的,写作a∈in[n]。节点n本文中代表指令。
  • live-out: 变量a在节点n的任一后继的live-in集合中。写作a∈out[n]in[n]=use[n](out[n]def[n])\out[n]=in[s1]in[s2]...in[sn],where s1,...,snare all successors of nin[n] = use[n]\cup(out[n]-def[n])\out[n] = in[s_1]\cup in[s_2]\cup ...\cup in[s_n], where\ s_1,...,s_n are\ all\ successors\ of\ n
  • 干涉:在某一时刻,两个变量在同一live-in集合中。
  • RIG(Register Interfere Graph): 无向图,其点集和边集构成如下:
  • 节点:变量
  • 边:如果两节点存在干涉,那么这两节点之间就有一条干涉边
  • k-着色:给定无向图G=(V,E),其中V为顶点集合,E为边集合。将V分为k个组,每组中没有相邻顶点,可称该图G是k着色的。当然可着色前提下,k越小越好。需要注意的是,我们后续的算法会作用在最普通的四元式上,而不是SSA。在介绍寄存器分配算法之前,我们需要活跃变量分析来构建干涉图。

活跃变量分析与图着色算法

活跃变量分析

简单来说,就是计算每个点上有哪些变量被使用。

算法描述如下[1]:

input: CFG = (N, E, Entry, Exit)
begin
// init
for each basic block B in CFG
    in[B] = ∅
// iterate
do{
    for each basic block B other than Exit{
        out[B] = ∪(in[s]),for all successors s of B
        in[B] = use[B]∪(out[B]-def[B])
    }
}until all in[] do't change

活跃变量分析还有孪生兄弟叫Reaching Definitions,不过实现功能类似,不再赘述。

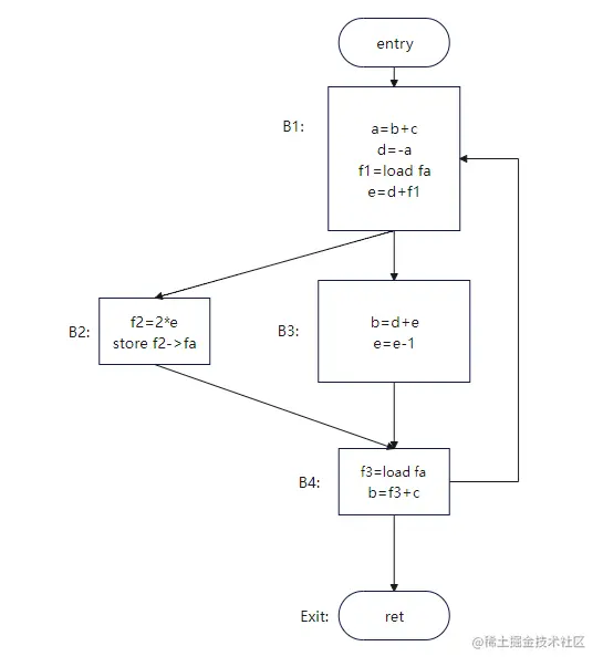
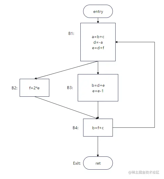
举个例子:对图1的代码进行活跃变量分析

图1,参考[2]画的

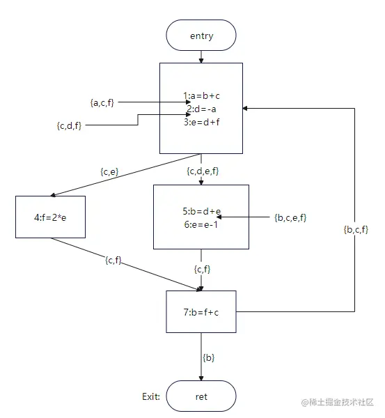
可以得到每个点的活跃变量如图2所示:

图2

过程呢?限于篇幅,仅仅计算第一轮指令1的结果,剩余部分读者可自行计算。

图3

图着色

经过上文的活跃变量分析,我们得到了干涉图,下一步对其进行上色。

但是图着色是一个NP问题,我们会采用启发式算法对干涉图进行着色。基本思路是:

  1. 找到度小于k的节点;
  2. 从图中删除;
  3. 判断是否为可着色的图;
  4. 迭代运行前3步直到着色完成。

算法描述[3]:

input: RIG, k
// init
stack = {}
// iterate
while RIG != {} {
    t := pick a node with fewer than k neighbors from RIG // 这里RIG可以先按度数排序节点再返回
    stack.push(t)
    RIG.remove(t)
}
// coloring
while stack != {} {
    t := stack.pop()
    t.color = a color different from t's assigned colored neighbors
}

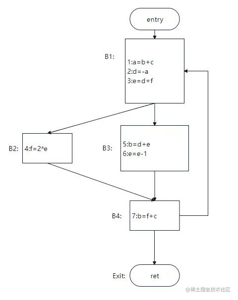
对于例子1,假设有4个寄存器r1、r2、r3、r4可供分配。

所以图3中的RIG是4-着色的。但如果只有三种颜色可用,怎么办呢?

没关系,我们还有大容量的内存,虽然速度慢了那么一点点。着色失败就把变量放在内存里,用的时候再取出来。

依然是上例,但是k=3,只有三个颜色。

如果f的邻居是2-着色的就好了,但不是。那就只能选一个变量存入内存了。这里我们选择将变量f溢出至内存。溢出后的IR和RIG如图:

图4:溢出后的IR

图5:溢出后的RIG

所以,溢出其实是分割了变量的生命周期以降低被溢出节点的邻居数量。溢出后的着色图如图6:

图6:着色后的图5

这里溢出变量f并不是明智的选择,关于如何优化溢出变量读者可自行查阅资料。

至此,图着色算法基本介绍完毕。不过,如果代码中的复制指令,应该怎么处理呢?

寄存器分配之前会有Copy Propagation和Dead Code Elimination优化掉部分复制指令,但是两者并不是全能的。

比如:代码段1中,我们可以合并Y和X。但是代码段2中Copy Propagation就无能为力了,因为分支会导致不同的Y值。

// 代码段1
X = ...
A = 10
Y = X
Z = Y + A
return Z

// 代码段2
X= A + B
Y = C
if (...) {Y = X}
Z = Y + 4

所以,寄存器分配算法也需要对复制指令进行处理。如何处理?给复制指令的源和目标分配同一寄存器。

那么如何在RIG中表示呢?如果把复制指令的源和目标看作RIG中相同的节点,自然会分配同一寄存器。

  • 相同节点?可以扩展RIG:新增虚线边,代表合并候选人。
  • 成为合并候选人的条件是:如果X和Y的生命周期不重合,那么对于Y=X指令中的X和Y是可合并的。
  • 为了保证合并合法且不造成溢出:合并后局部的度数<k

那么如何计算局部的度数?介绍三种算法:

  • 简单算法
  • Brigg's 算法
  • George's 算法
  1. 简单算法:(|X|+|Y|)<k,很保守的算法但是可能会错过一些场景

比如k=2时:图7应用简单算法是没办法合并的

图7,图源[3]

但明显图7可以合并成图8:

图8,图源[3]

  1. Brigg's 算法:X和Y可合并,如果X和Y中度数≥k的邻居个数<k。但是如果X的度数很大,算法效率就不高

  2. George's算法:X和Y可合并,如果对Y的每个邻居T,|T|<k或者T和X冲突。

    比如k=2时图9就可以合并X和Y

    图9,图源[3]

    相对于Brigg算法、George算法不用遍历节点的邻居。注意,图着色时可以按节点度数从小到大依次访问。

到此,图着色算法介绍完毕。

线性扫描

接下来介绍一种不同思路的算法:线性扫描。算法描述如下[4]:

LinearScanRegisterAllocation:
    active := {}
    for i in live interval in order of increasing start point
        ExpireOldIntervals(i)
        if length(avtive) == R
            SpillAtInterval(i)
        else
            register[i] := a regsiter removed from pool of free registers
            add i to active, sorted by increasing end point
ExpireOldInterval(i)
    for interval j in active, in order of increaing end point
        if endpoint[j] >= startpoint[i]
            return
        remove j from active
        add register[j] to pool of free registers
SpillAtInterval(i)
    spill := last interval in active
    if endpoint[spill] > endpoint[i]
        register[i] := register[spill]
        location[spill] := new stack location
        remove spill from active
        add i to active, sorted by increasing end point
    else
        location[i] := new stack location

live interval其实就是变量的生命期,用活跃变量分析可以算出来。不过需要标识第一次出现和最后一次出现的时间点。

举个例子:

llvm中实现

在上文中介绍的算法都是作用在最普通的四元式上,但LLVM-IR是SSA形式,有PHI节点,但PHI节点没有机器指令表示,所以在寄存器分配前需要把PHI节点干掉,消除PHI节点的算法限于篇幅不展开,请自行查阅。

llvm作为工业级编译器,有多种分配算法,可以通过llc的命令行选项-regalloc=pbqp|greedy|basic|fast来手动控制分配算法。

不同优化等级默认使用算法也不同:O2和O3默认使用greedy,其他默认使用fast。

fast算法的策略很简单,扫描代码并为出现的变量分配寄存器,寄存器不够用就溢出到内存。用途主要是调试

basic算法以linearscan为基础并对life interval设置了溢出权重而且用优先队列来存储life interval。

greedy算法也使用优先队列,但特点是先为生命期长的变量分配寄存器,而短生命期的变量可以放在间隙中,详情可以参考[5]。

pbqp算法全称是Partitioned Boolean Quadratic Programming,限于篇幅,感兴趣的读者请查阅[6]。

至于具体实现,自顶向下依次是:

  • TargetPassConfig::addMachinePasses含有寄存器分配和其他优化
  • addOptimizedRegAlloc中是与寄存器分配密切相关的pass,比如上文提到的消除PHI节点
  • addRegAssignAndRewriteOptimized是实际的寄存器分配算法
  • 寄存器分配相关文件在lib/CodeGen下的RegAllocBase.cpp、RegAllocGreedy.cpp、RegAllocFast.cpp、RegAllocBasic.cpp和RegAllocPBQP.cpp等。
  • RegAllocBase类定义了一系列接口,重点是selectOrSplit和enqueue/dequeue方法,数据结构的重点是priority queue。 selectOrSplit方法可以类比上文中提到的SpillAtInterval。 priority queue类比active list。简要代码如下:
void RegAllocBase::allocatePhysRegs() {
  // 1. virtual reg其实就是变量
  while (LiveInterval *VirtReg = dequeue()) {

    // 2.selectOrSplit 会返回一个可用的物理寄存器然后返回新的live intervals列表
    using VirtRegVec = SmallVector<Register, 4>;
    VirtRegVec SplitVRegs;
    MCRegister AvailablePhysReg = selectOrSplit(*VirtReg, SplitVRegs);
    // 3.分配失败检查
    if (AvailablePhysReg == ~0u) {
        ...
    }
    // 4.正式分配
    if (AvailablePhysReg)
      Matrix->assign(*VirtReg, AvailablePhysReg);
    
    for (Register Reg : SplitVRegs) {
      // 5.入队分割后的liver interval
      LiveInterval *SplitVirtReg = &LIS->getInterval(Reg);
      enqueue(SplitVirtReg);
    }
  }
}

至于这四种算法的性能对比,我们主要考虑三个指标:运行时间、编译时间和溢出次数。

各算法的运行时间,图源[6], 横坐标是测试集,纵坐标是以秒为单位的运行时间

各算法的编译时间,图源[6], 横坐标是测试集,纵坐标是编译时间

各算法的溢出次数,图源[6]

从这三幅图可以看出greedy算法在大多数测试集上都优于其他算法,因此greedy作为默认分配器是可行的。

小结

我们通过一个例子介绍了活跃变量分析和图着色算法。借助活跃变量分析,我们知道了变量的生命期,有了变量生命期建立干涉图,对干涉图进行着色。如果着色失败,可以选择某个变量溢出到内存中。之后在RIG的基础上介绍了寄存器合并这一变换。

然后我们简单介绍了不同思路的寄存器分配算法:linearscan。最后介绍了llvm12中算法的实现并对比了llvm中四种算法的性能差异。

参考

  1. Introduction to Data Flow Analysis (cmu.edu)
  2. register-allocation
  3. Register Allocation (cmu.edu)Register Allocation: Coalescing (cmu.edu)
  4. linearscan.pdf (ucla.edu)
  5. greedy-register-allocation-in-llvm-30
  6. T. C. d. S. Xavier, G. S. Oliveira, E. D. d. Lima and A. F. d. Silva, "A Detailed Analysis of the LLVM's Register Allocators," 2012 31st International Conference of the Chilean Computer Science Society, 2012, pp. 190-198, doi: 10.1109/SCCC.2012.29.