LeetCode每日1题--设计链表

104 阅读2分钟

携手创作,共同成长!这是我参与「掘金日新计划 · 8 月更文挑战」的第28天,点击查看活动详情

前言

算法的重要性不言而喻!大厂都在考算法,说明算法不好学,区分度高!

如果我们认为我不进大厂我就不用学算法了,我学学框架,学学能用好不就行了。但是你要知道你的竞争者有多少,你怎么才能跟别人拉开差距???不就是需要基础好,能培养吗?

现在学习的门槛低了,只有能上网每个人都可以学编程!培训班6个月就可以培养出来能干活的人,你怎么从这些人中脱颖而出?没错!就是学算法,补基础。

说的功利点是为了竞争,卷死对手。真心话说就是能提高自己的基础能力,为技术可持续发展做好充分的准备!!!

选题、动图来自于:www.programmercarl.com/

提前学习书籍:CPrimerPlus、大话数据结构

image-20220705103735001

刷题网站

代码随想录 (programmercarl.com)

leetcode

我是按照代码随想录提供的刷题顺序进行刷题的,大家也可以去刷leetcode最热200道,都可以

刷题嘛,最重要的就是坚持了!!!

画图软件

OneNote

这个要经常用,遇见不懂的流程的话就拿它画一画!

笔记软件

Typoral

很好用的Markdown文档

设计链表

思路

这一章节,java不太好理解

如果没有基础,先看C-PrimerPlus和大话数据结构

最后在推荐尚硅谷的数据结构与算法课程,一定是这个顺序!

没有什么拐弯的地方,就是你熟悉链表了,知道CRUD指针是怎么变的了就能写出来

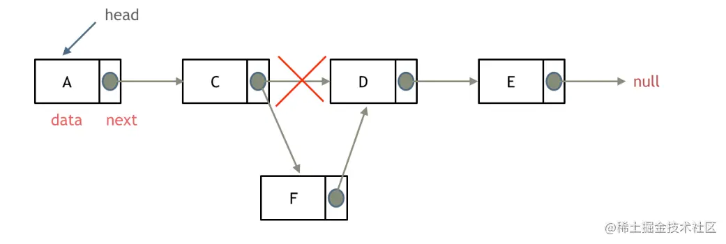
删除节点指针的变化如下:

image-20220705194340278

添加链表节点指针的变化如下:

image-20220705194404836

这一题很考验我们对链表的理解: 首先,listNode为一个val,一个对象的引用(可以理解为指针)

  1. 获取第index个节点的数值,其实就是遍历,然后返回val

代码如下:

package com.caq.linkList;

public class MyLinkedList {
    int size;
    ListNode head;
    //初始化链表
    public MyLinkedList() {
        size = 0;
        head = new ListNode(0);
    }

    //获取第index个节点的数值
    public int get(int index) {
        //如果index非法,返回-1
        if (index < 0 || index >= size) {
            return -1;
        }
        ListNode currentNode = head;
        //包含一个虚拟头节点,所以查找第 index+1 个节点
        for (int i = 0; i <= index; i++) {
            currentNode = currentNode.next;
        }
        return currentNode.val;
    }

    //在链表最前面插入一个节点
    public void addAtHead(int val) {
        addAtIndex(0, val);
    }

    //在链表的最后插入一个节点
    public void addAtTail(int val) {
        addAtIndex(size, val);
    }

    public void addAtIndex(int index, int val) {
        if (index > size) {
            return;
        }
        if (index < 0) {
            index = 0;
        }
        size++;
        //找到要插入节点的前驱
        ListNode pred = head;
        for (int i = 0; i < index; i++) {
            pred = pred.next;
        }
        ListNode toAdd = new ListNode(val);
        toAdd.next = pred.next;
        pred.next = toAdd;
    }

    //删除第index个节点
    public void deleteAtIndex(int index) {
        if (index < 0 || index >= size) {
            return;
        }
        size--;
        ListNode pred = head;
        for (int i = 0; i < index; i++) {
            pred = pred.next;
        }
        pred.next = pred.next.next;
    }
}