二叉搜索树中的插入操作 · 8 月更文挑战

102 阅读2分钟


携手创作,共同成长!这是我参与「掘金日新计划 · 8 月更文挑战」的第28天,点击查看活动详情

一、题目描述:

给定二叉搜索树(BST)的根节点 root 和要插入树中的值 value ,将值插入二叉搜索树。 返回插入后二叉搜索树的根节点。 输入数据 保证 ,新值和原始二叉搜索树中的任意节点值都不同。

注意,可能存在多种有效的插入方式,只要树在插入后仍保持为二叉搜索树即可。 你可以返回 任意有效的结果 。

示例 1:

img

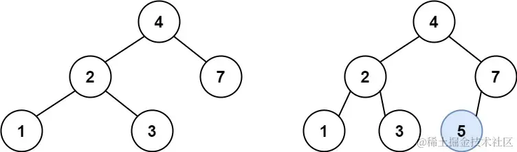
输入:root = [4,2,7,1,3], val = 5 输出:[4,2,7,1,3,5] 解释:另一个满足题目要求可以通过的树是:

img

示例 2:

输入:root = [40,20,60,10,30,50,70], val = 25 输出:[40,20,60,10,30,50,70,null,null,25] 示例 3:

输入:root = [4,2,7,1,3,null,null,null,null,null,null], val = 5 输出:[4,2,7,1,3,5]

提示:

树中的节点数将在 [0, 104]的范围内。 -108 <= Node.val <= 108 所有值 Node.val 是 独一无二 的。 -108 <= val <= 108 保证 val 在原始BST中不存在。

来源:力扣(LeetCode) 链接:leetcode.cn/problems/in… 著作权归领扣网络所有。商业转载请联系官方授权,非商业转载请注明出处。

二、思路分析:

使用递归算法。

如果二叉搜索树为空,则插入结点之后,二叉搜索树中只有插入的结点,返回该结点即可。如果二叉搜索树不为空,为了在插入操作之后维持二叉搜索树的性质,需要比较根结点值和插入值,决定应该在根结点的哪个子树中插入结点。

如果根结点值大于目标值,则应该在根结点的左子树中插入结点。

如果根结点值小于目标值,则应该在根结点的右子树中插入结点。

三、AC 代码:

class Solution {
    public TreeNode insertIntoBST(TreeNode root, int val) {
        if (root == null) {
            return new TreeNode(val);
        }
        if (root.val > val) {
            root.left = insertIntoBST(root.left, val);
        } else {
            root.right = insertIntoBST(root.right, val);
        }
        return root;
    }
}
​

四、总结:

image.png

掘友们,解题不易,留下个赞或评论再走吧!谢啦~ 💐

希望对你有帮助

期待下次再见~

🌇 点赞 👍 收藏 ⭐留言 📝 一键三连 ~关注从你我做起!