输出二叉树

77 阅读1分钟

携手创作,共同成长!这是我参与「掘金日新计划 · 8 月更文挑战」的第27天,点击查看活动详情

655. 输出二叉树 - 力扣(LeetCode)

给你一棵二叉树的根节点 root ,请你构造一个下标从 0 开始、大小为 m x n 的字符串矩阵 res ,用以表示树的 格式化布局 。构造此格式化布局矩阵需要遵循以下规则:

  • 树的 高度height ,矩阵的行数 m 应该等于 height + 1
  • 矩阵的列数 n 应该等于 2^(height+1) - 1
  • 根节点 需要放置在 顶行正中间 ,对应位置为 res[0][(n-1)/2]
  • 对于放置在矩阵中的每个节点,设对应位置为 res[r][c] ,将其左子节点放置在 res[r+1][c-2^(height-r-1)] ,右子节点放置在 res[r+1][c+2^(height-r-1)]
  • 继续这一过程,直到树中的所有节点都妥善放置。
  • 任意空单元格都应该包含空字符串 ""

返回构造得到的矩阵 res

示例 1:


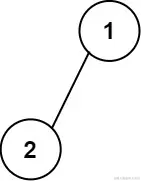
输入: root = [1,2]
输出:
[["","1",""],
["2","",""]]

示例 2:


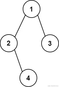
输入: root = [1,2,3,null,4]
输出:
[["","","","1","","",""],
["","2","","","","3",""],
["","","4","","","",""]]

提示:

  • 树中节点数在范围 [1, 2^10]
  • -99 <= Node.val <= 99
  • 树的深度在范围 [1, 10]

解题

/**
 * Definition for a binary tree node.
 * function TreeNode(val, left, right) {
 *     this.val = (val===undefined ? 0 : val)
 *     this.left = (left===undefined ? null : left)
 *     this.right = (right===undefined ? null : right)
 * }
 */
/**
 * @param {TreeNode} root
 * @return {string[][]}
 */
var printTree = function (root) {
  const getLevel = (node, level) => {
    const l = level;
    if (node.left) {
      level = getLevel(node.left, l + 1);
    }
    if (node.right) {
      level = Math.max(level, getLevel(node.right, l + 1));
    }
    return level;
  };
  const dfs = (node, left, right, level) => {
    let mid = (left + right) >> 1;
    res[level][mid] = node.val + "";
    if (node.left) {
      dfs(node.left, left, mid - 1, level + 1);
    }
    if (node.right) {
      dfs(node.right, mid + 1, right, level + 1);
    }
  };
  const level = getLevel(root, 1);
  const len = Math.pow(2, level) - 1;
  const res = new Array(level).fill(null).map(() => new Array(len).fill(""));

  dfs(root, 0, len - 1, 0);
  return res;
};