【数据结构】图-图的遍历_广度优先遍历(动态图解、c++、java)

594 阅读7分钟

本文已参与「新人创作礼」活动,一起开启掘金创作之路。

GitHub同步更新(已分类):Data_Structure_And_Algorithm-Review

公众号:URLeisure 的复习仓库 (点击可见公众号二维码)

提示:以下是本篇文章正文内容,下面案例可供参考


一、概述

  • 图的遍历和树的遍历类似,是从图的某一顶点出发,按照某种搜索方式对图中所有的顶点访问一次且仅一次。
  • 图的遍历可以解决很多搜索问题,在实际中应用非常广泛。
  • 图的遍历根据搜索方式的不同,分为:广度优先搜索深度优先搜索

二、广度优先搜索

  • 广度优先搜索(Breadth First Search,BFS),又称宽度优先搜索,是最常见的图搜索方法之一。
  • 广度优先搜索是从某个顶点(源点)出发,一次性访问所有未被访问的邻接点,再依次从这些访问过的邻接点出发。
  • 广度优先遍历是按照广度优先搜索的方式对图进行遍历。

图解

在这里插入图片描述

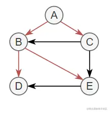
在上图中,设 A 为源点。

  1. 从 A 出发,访问 A 的邻接点 B、C;
  2. 再从 B 出发,访问 B 的邻接点 D、E;
  3. 从 C 出发,C 的邻接点 B、E 已被访问;
  4. 从 D 出发,D 没有邻接点;
  5. 从 E 出发,E 的邻接点 D 已被访问;
  6. 访问完毕。

访问路径如图。 在这里插入图片描述 规律:先被访问的顶点,其邻接点先被访问

根据这个规律,我们可以用队列来实现广度优先遍历。

创建 vis[ ],来标记已被访问的顶点。

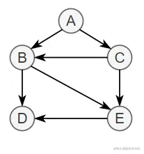
BFS树

广度优先遍历经过的顶点及边,称为广度优先生成树,简称 BFS树

如图为图例的广度优先生成树在这里插入图片描述

如果是非连通图,则每一个连通分量会产生一棵 BFS树,合在一起称为 BFS森林

代码

算法步骤:

  1. 初始化图的所有顶点未被访问,初始化一个空队列;
  2. 从图的某个顶点 V 出发,访问 V 并标记已访问,将 V 入队;
  3. 如果队列非空,则继续执行,否则算法结束;
  4. 队头元素 V 出队,依次访问 V 的所有未被访问的邻接点,标记已访问并入队,转向步骤3。

在这里插入图片描述

上图中示例:

  1. A 入队;
  2. A 出队,判断 A 的邻接点;
  3. A 的邻接点 B、C 入队;
  4. B 出队,判断 B 的邻接点;
  5. B 的邻接点 D、E 入队;
  6. C 出队,判断 C 的邻接点,都被标记不如队列;
  7. D 出队,判断 D 的邻接点;
  8. E 出队,判断 E 的邻接点。
  9. 队列为空,终止。

在这里插入图片描述 (这是邻接矩阵的结果,如果是邻接表的话,结果是ACBED。因为邻接表的添加节点类似于头插法,后输入的在前面。)

初始化见完整代码。

邻接矩阵实现

c++代码如下(示例):

void BFS_AM(AMGraph G, VexType v) {
    queue<VexType> Q;
    int i = LocateVex(G, v);
    vis[i] = true;
    Q.push(v);
    while (!Q.empty()) {
        VexType u = Q.front();
        cout << u << "\t";//可以把 u 存起来最后输出,也可以直接在这里输出
        i = LocateVex(G, u);
        Q.pop();
        for (int j = 0; j < G.vexnum; j++) {
            if (G.Edge[i][j] && !vis[j]) {
                vis[j] = true;
                Q.push(G.Vex[j]);
            }
        }
    }
}

java代码如下(示例):

private static void BFS_AM(AMGraph g, String v) {
	LinkedList<String> queue = new LinkedList<>();
    int i = locateVex(g, v);
    vis[i] = true;
    queue.add(v);
    while (!queue.isEmpty()) {
        String u = queue.pop();
        System.out.print(u + "\t");//可以把 u 存起来最后输出,也可以直接在这里输出
        i = locateVex(g, u);
        for (int j = 0; j < g.vexnum; j++) {
            if (g.edge[i][j] != 0 && !vis[j]) {
                vis[j] = true;
                queue.add(g.vex[j]);
            }
        }
    }
}

邻接表实现

c++代码如下(示例):

void BFS_AL(ALGraph G, VexType v) {
    queue<VexType> Q;
    int i = LocateVex(G, v);
    vis[i] = true;
    Q.push(v);
    while (!Q.empty()) {
        VexType u = Q.front();
        cout << u << "\t";//可以把 u 存起来最后输出,也可以直接在这里输出
        Q.pop();
        i = LocateVex(G, u);
        AdjNode *p = G.Vex[i].first;
        while (p) {
            if (!vis[p->v]) {
                Q.push(G.Vex[p->v].data);
                vis[p->v] = true;
            }
            p = p->next;
        }
    }
}

java代码如下(示例):

private static void BFS_AL(ALGraph g, String v) {
    LinkedList<String> queue = new LinkedList<>();
    int i = locateVex(g, v);
    vis[i] = true;
    queue.add(v);
 	while (!queue.isEmpty()) {
       	String u = queue.pop();
        System.out.print(u + "\t");//可以把 u 存起来最后输出,也可以直接在这里输出
        i = locateVex(g, u);
        AdjNode p = g.vex[i].first;
       	while (p != null) {
            if (!vis[p.v]) {
                vis[p.v] = true;
                queue.add(g.vex[p.v].data);
            }
            p = p.next;
        }
    }
}

链式前向星实现

  • 之前没写链式前向星的,因为我感觉过程会了写起来没有难度,但是。。。

c++代码如下(示例):

void BFS(int x) {
    queue<int> q;
    flag[x] = true;
    q.push(x);
    while (!q.empty()) {
        int u = q.front();
        q.pop();
        cout << u << "\t";//可以把 u 存起来最后输出,也可以直接在这里输出
        for (int i = head[u]; ~i; i = e[i].next) {
            int v = e[i].to;
            if (!flag[v]) {
                flag[v] = true;
                q.push(v);
            }
        }
    }
}

java代码如下(示例):

public static void bfs(int x) {
    LinkedList<Integer> queue = new LinkedList<>();
    flag[x] = true;
    queue.add(x);
    while (!queue.isEmpty()) {
        int u = queue.pop();
        System.out.print(u + "\t");
        for (int i = head[u]; i != -1; i = e[i].next) {
            int v = e[i].to;
            if (!flag[v]) {
                flag[v] = true;
                queue.add(v);
           	}
        }
    }
}

三、完整代码

邻接矩阵版

c++代码如下(示例):

#include "iostream"
#include "cstring"
#include "queue"

using namespace std;

typedef char VexType;
typedef int EdgeType;
#define MAXN 100//注意,开太大的话二维数组受不了

struct AMGraph {
    VexType Vex[MAXN];
    EdgeType Edge[MAXN][MAXN];
    int vexnum, edgenum;
};

bool vis[MAXN];

void Init() {
    memset(vis, false, sizeof vis);
}

int LocateVex(AMGraph G, VexType x) {
    for (int i = 0; i < G.vexnum; i++) {
        if (G.Vex[i] == x) {
            return i;
        }
    }
    return -1;
}

void CreateAMGraph(AMGraph &G) {
    cin >> G.vexnum >> G.edgenum;
    for (int i = 0; i < G.vexnum; i++) {
        cin >> G.Vex[i];
    }
    for (int i = 0; i < G.vexnum; i++) {
        for (int j = 0; j < G.vexnum; j++) {
            G.Edge[i][j] = 0;
        }
    }
    VexType u, v;
    while (G.edgenum--) {
        cin >> u >> v;
        int i = LocateVex(G, u);
        int j = LocateVex(G, v);
        if (i != -1 && j != -1) {
            G.Edge[i][j] = 1;
        } else {
            cout << "输入了不存在的节点,请重新输入" << endl;
            G.edgenum++;
        }
    }
}

void BFS_AM(AMGraph G, VexType v) {
    queue<VexType> Q;
    int i = LocateVex(G, v);
    vis[i] = true;
    Q.push(v);
    while (!Q.empty()) {
        VexType u = Q.front();
        cout << u << "\t";
        i = LocateVex(G, u);
        Q.pop();
        for (int j = 0; j < G.vexnum; j++) {
            if (G.Edge[i][j] && !vis[j]) {
                vis[j] = true;
                Q.push(G.Vex[j]);
            }
        }
    }
}

int main() {
    Init();
    AMGraph G;
    CreateAMGraph(G);
    VexType v;
    cin >> v;
    BFS_AM(G, v);
    return 0;
}
/*
5 7
A B C D E
A B
A C
B D
B E
C B
C E
E D
A
 */

java代码如下(示例):

import java.util.Arrays;
import java.util.LinkedList;
import java.util.Scanner;

public class A {
    private static Scanner sc = new Scanner(System.in);
    private static final int MAX = 100;

    private static class AMGraph {
        String vex[] = new String[MAX];
        int edge[][] = new int[MAX][MAX];
        int edgenum, vexnum;
    }

    private static boolean vis[] = new boolean[MAX];

    private static void init() {
        Arrays.fill(vis, false);
    }

    private static int locateVex(AMGraph g, String x) {
        for (int i = 0; i < g.vexnum; i++) {
            if (g.vex[i].equals(x)) {
                return i;
            }
        }
        return -1;
    }

    private static void createAMGraph(AMGraph g) {
        g.vexnum = sc.nextInt();
        g.edgenum = sc.nextInt();
        for (int i = 0; i < g.vexnum; i++) {
            g.vex[i] = sc.next();
        }
        for (int i = 0; i < g.vexnum; i++) {
            for (int j = 0; j < g.vexnum; j++) {
                g.edge[i][j] = 0;
            }
        }
        String u, v;
        while (g.edgenum-- > 0) {
            u = sc.next();
            v = sc.next();
            int i = locateVex(g, u);
            int j = locateVex(g, v);
            if (i != -1 && j != -1) {
                g.edge[i][j] = 1;
            } else {
                System.out.println("输入了不存在的节点,请重新输入");
                g.edgenum++;
            }
        }
    }

    private static void BFS_AM(AMGraph g, String v) {
        LinkedList<String> queue = new LinkedList<>();
        int i = locateVex(g, v);
        vis[i] = true;
        queue.add(v);
        while (!queue.isEmpty()) {
            String u = queue.pop();
            System.out.print(u + "\t");
            i = locateVex(g, u);
            for (int j = 0; j < g.vexnum; j++) {
                if (g.edge[i][j] != 0 && !vis[j]) {
                    vis[j] = true;
                    queue.add(g.vex[j]);
                }
            }
        }
    }

    public static void main(String[] args) {
        AMGraph g = new AMGraph();
        init();
        createAMGraph(g);
        String v = sc.next();
        BFS_AM(g, v);
    }
}
/*
5 7
A B C D E
A B
A C
B D
B E
C B
C E
E D
A
 */

邻接表版

c++代码如下(示例):

#include "iostream"
#include "cstring"
#include "queue"

using namespace std;
typedef char VexType;
#define MAX 100

struct AdjNode {
    int v;
    AdjNode *next;
};

struct VexNode {
    VexType data;
    AdjNode *first;
};

struct ALGraph {
    VexNode Vex[MAX];
    int vexnum, edgenum;
};
bool vis[MAX];

void Init() {
    memset(vis, false, sizeof vis);
}

void InsertEdge(ALGraph &G, int i, int j) {
    AdjNode *s;
    s = new AdjNode;
    s->v = j;
    s->next = G.Vex[i].first;
    G.Vex[i].first = s;
}

int LocateVex(ALGraph G, VexType x) {
    for (int i = 0; i < G.vexnum; i++) {
        if (G.Vex[i].data == x) {
            return i;
        }
    }
    return -1;
}

void CreateALGraph(ALGraph &G) {
    cin >> G.vexnum >> G.edgenum;
    for (int i = 0; i < G.vexnum; i++) {
        cin >> G.Vex[i].data;
        G.Vex[i].first = nullptr;
    }
    VexType u, v;
    while (G.edgenum--) {
        cin >> u >> v;
        int i = LocateVex(G, u);
        int j = LocateVex(G, v);
        if (i != -1 && j != -1) {
            InsertEdge(G, i, j);
        } else {
            cout << "输入了不存在的节点,请重新输入" << endl;
            G.edgenum++;
        }
    }
}

void BFS_AL(ALGraph G, VexType v) {
    queue<VexType> Q;
    int i = LocateVex(G, v);
    vis[i] = true;
    Q.push(v);
    while (!Q.empty()) {
        VexType u = Q.front();
        cout << u << "\t";
        Q.pop();
        i = LocateVex(G, u);
        AdjNode *p = G.Vex[i].first;
        while (p) {
            if (!vis[p->v]) {
                Q.push(G.Vex[p->v].data);
                vis[p->v] = true;
            }
            p = p->next;
        }
    }
}

int main() {
    ALGraph G;
    Init();
    CreateALGraph(G);
    VexType v;
    cin >> v;
    BFS_AL(G, v);
    return 0;
}
/*
5 7
A B C D E
A B
A C
B D
B E
C B
C E
E D
A
 */

java代码如下(示例):

import java.util.Arrays;
import java.util.LinkedList;
import java.util.Scanner;

public class A {
    private static Scanner sc = new Scanner(System.in);
    private static final int MAX = 100;

    private static class AdjNode {
        int v;
        AdjNode next;
    }

    private static class VexNode {
        String data;
        AdjNode first;
    }

    private static class ALGraph {
        VexNode vex[] = new VexNode[MAX];
        int vexnum, edgenum;
    }

    private static boolean vis[] = new boolean[MAX];

    private static void init() {
        Arrays.fill(vis, false);
    }

    private static void insertEdge(ALGraph g, int i, int j) {
        AdjNode p = new AdjNode();
        p.v = j;
        p.next = g.vex[i].first;
        g.vex[i].first = p;
    }

    private static int locateVex(ALGraph g, String x) {
        for (int i = 0; i < g.vexnum; i++) {
            if (g.vex[i].data.equals(x)) {
                return i;
            }
        }
        return -1;
    }

    private static void createALGraph(ALGraph g) {
        g.vexnum = sc.nextInt();
        g.edgenum = sc.nextInt();
        for (int i = 0; i < g.vexnum; i++) {
            g.vex[i] = new VexNode();
            g.vex[i].data = sc.next();
            g.vex[i].first = null;
        }
        String u, v;
        while (g.edgenum-- > 0) {
            u = sc.next();
            v = sc.next();
            int i = locateVex(g, u);
            int j = locateVex(g, v);
            if (i != -1 && j != -1) {
                insertEdge(g, i, j);
            } else {
                System.out.println("输入了不存在的节点,请重新输入");
                g.edgenum++;
            }
        }
    }

    private static void BFS_AL(ALGraph g, String v) {
        LinkedList<String> queue = new LinkedList<>();
        int i = locateVex(g, v);
        vis[i] = true;
        queue.add(v);
        while (!queue.isEmpty()) {
            String u = queue.pop();
            System.out.print(u + "\t");
            i = locateVex(g, u);
            AdjNode p = g.vex[i].first;
            while (p != null) {
                if (!vis[p.v]) {
                    vis[p.v] = true;
                    queue.add(g.vex[p.v].data);
                }
                p = p.next;
            }
        }
    }

    public static void main(String[] args) {
        ALGraph g = new ALGraph();
        init();
        createALGraph(g);
        String v = sc.next();
        BFS_AL(g, v);
    }
}
/*
5 7
A B C D E
A B
A C
B D
B E
C B
C E
E D
A
 */

链式前向星版

c++代码如下(示例):

#include<iostream>
#include<cstring>
#include<queue>

using namespace std;

const int N = 1e3;
struct Edge {
    int to;
    int next;
} e[N];
int head[N], cnt;
bool flag[N];

void Init() {
    memset(head, -1, sizeof head);
    memset(flag, false, sizeof flag);
    cnt = 0;
}

void add(int u, int v) {
    e[cnt].to = v;
    e[cnt].next = head[u];
    head[u] = cnt++;
}

void BFS(int x) {
    queue<int> q;
    flag[x] = true;
    q.push(x);
    while (!q.empty()) {
        int u = q.front();
        q.pop();
        cout << u << "\t";//可以把 u 存起来最后输出,也可以直接在这里输出
        for (int i = head[u]; ~i; i = e[i].next) {
            int v = e[i].to;
            if (!flag[v]) {
                flag[v] = true;
                q.push(v);
            }
        }
    }
}

int main() {
    Init();
    int n;
    cin >> n;
    int u, v;
    for (int i = 0; i < n; i++) {
        cin >> u >> v;
        add(u, v);
    }

    cin >> v;
    BFS(v);
    cout << endl;
    return 0;
}
/*
7
1 2
1 3
2 4
2 5
3 2
3 5
5 4
1
 */

java代码如下(示例):

import java.util.Arrays;
import java.util.LinkedList;
import java.util.Scanner;

public class A {
    public static Scanner sc = new Scanner(System.in);
    public static final int N = 1000;

    public static class Edge {
        int to;
        int next;
    }

    public static Edge e[] = new Edge[N];
    public static int head[] = new int[N];
    public static boolean flag[] = new boolean[N];
    public static int cnt;

    public static void init() {
        Arrays.fill(head, -1);
        Arrays.fill(flag, false);
        cnt = 0;
    }

    public static void add(int u, int v) {
        e[cnt] = new Edge();
        e[cnt].to = v;
        e[cnt].next = head[u];
        head[u] = cnt++;
    }

    public static void bfs(int x) {
        LinkedList<Integer> queue = new LinkedList<>();
        flag[x] = true;
        queue.add(x);
        while (!queue.isEmpty()) {
            int u = queue.pop();
            System.out.print(u + "\t");
            for (int i = head[u]; i != -1; i = e[i].next) {
                int v = e[i].to;
                if (!flag[v]) {
                    flag[v] = true;
                    queue.add(v);
                }
            }
        }
    }

    public static void main(String[] args) {
        init();
        int n = sc.nextInt();
        int v, u;
        for (int i = 0; i < n; i++) {
            u = sc.nextInt();
            v = sc.nextInt();
            add(u, v);
        }

        v = sc.nextInt();
        bfs(v);
    }
}
/*
7
1 2
1 3
2 4
2 5
3 2
3 5
5 4
1
 */

四、总结

算法复杂度分析

广度优先搜索的过程实质上是对每个顶点搜索其邻接点的过程,图的存储方式不同,其算法复杂度也不同。

基于邻接矩阵的 BFS 算法

时间复杂度:

  • 查找每个顶点的邻接点需要 O(n)O(n) 时间,一共 n 个顶点,总时间复杂度为O(n2)O(n^2)

空间复杂度:

  • 使用了一个辅助队列,最坏的情况下每个顶点入队一次,空间复杂度为 O(n)O(n)

基于邻接表的 BFS 算法

时间复杂度:

  • 查找顶点 Vi 的邻接点需要 O(d(Vi))O(d(V_i)) 时间,d(Vi)d(V_i) 为 Vi 的出度(无向图为度)。
  • 对有向图,所有顶点的出度之和等于边数 e;对无向图,所有顶点的度之和为 2e。
  • 因此查找邻接点的时间复杂度为 O(n)O(n),加上初始化时间 O(n)O(n),总的时间复杂度为 O(n+e)O(n+e)

空间复杂度:

  • 使用了一个辅助队列,最坏的情况下每个顶点入队一次,空间复杂度为O(n)O(n)

注意

图的邻接矩阵是唯一的,因此基于邻接矩阵的 BFS 或 DFS 遍历序列也是唯一的

图的邻接表不是唯一的,边的输入顺序不同,正序或逆序建表都会影响邻接表的邻接点顺序,因此基于邻接表的 BFS 或 DFS 遍历序列不是唯一的


关注公众号,感受不同的阅读体验

下期预告:图的遍历_深度优先遍历