算法理论:信号与系统4Z变换

201 阅读3分钟

本文已参与「新人创作礼」活动,一起开启掘金创作之路。

对象:离散时间系统

过程:差分方程——z变换——复频域模型(代数方程)——系统特性

类比微分方程用LT,也是使得计算简化。

逆z变换:变回离散时间变量

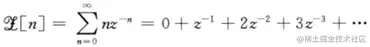
1 ZT的定义

这部分内容和LT的非常像

1.1 ZT的类型和定义

(1)双边ZT(下标带b)

在这里插入图片描述

z是一个复数,用Σ+jΩ表示。

(2)单边ZT

根据双边ZT拆开

在这里插入图片描述

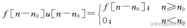
规定f[n]在n<0的时候是0,那么只剩下右边的,即:

在这里插入图片描述

单边ZT简称ZT。

1.2 IZT

(1)用反演积分定义

在这里插入图片描述

积分路线是Γ,它是z平面的逆时针闭合积分路线。但一般不这么算,太烦了,查表。

单边的逆z变换形式和这个一样,得到的结果是f[n],它是整个时间轴上的函数,但是规定n<0的时候是0。

(2)用部分分式展开法求

对于下面的例子

在这里插入图片描述

右边是两个分数相乘,只要分子的次数不大于分母,它一定可以拆开为

在这里插入图片描述

的形式,所以右边的分子是二次、一次、零次都可以。现在是二次的,按理说可以直接拆开,但拆 完以后每个分子都是常数,而这个形式在ZT表上查不到,表上的都是分子是一次的。所以,在进行拆分之前,需要拿走一个z,等拆完后再乘上去,分子的次数就升到了一次,方便用ZT表了。即:

在这里插入图片描述

再求系数

在这里插入图片描述

因此

在这里插入图片描述

利用z/(z-a)的IZT很容易得到

在这里插入图片描述

(3)用长除法展成幂级数求

适用于只需要知道y[n]的前几项的时候。因为长除法不一定能找到规律,可能写不出级数的表达式。

在这里插入图片描述

进行降幂长除:

在这里插入图片描述

得到:

在这里插入图片描述

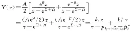
(4)有复数极点的情况

当然可以用(2)的方法求,但是最后的形式是:系数是复数,函数是复数,虽然它们加起来之后虚部会相互抵消,结果仍然是实数,但是看起来复杂。这里的方法可以把逆变换直接表示成实函数的和。

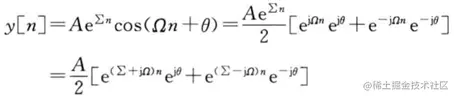
对于下面这个实函数:

在这里插入图片描述

第一个表达式是实数形式的,我们的目标就是从后面两个复数形式,推得它。关键就在于求A、Σ、Ω、θ。

查表得到y(n)的ZT(星号表示共轭,注意e^(jθ)是常数,直接拎出来):

在这里插入图片描述

利用下面的关系:

在这里插入图片描述

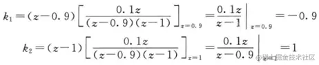
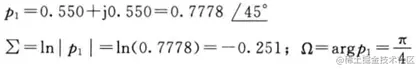
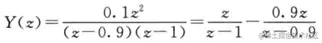
对于一个已经得到的Y(z),我们知道的是k和p,再通过p计算Σ和Ω,通过k求A和θ,就得到了这四个系数,可以还原成实数的表达式了。

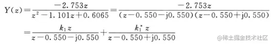
比如:

在这里插入图片描述

在这里插入图片描述

因为

在这里插入图片描述

在这里插入图片描述

所以

在这里插入图片描述

1.3 可以进行ZT的条件和收敛域

f(n)能够使得

在这里插入图片描述

收敛。

因为n无穷的时候,z^(-1)越来越小,所以z的幅值变大更可能收敛,即收敛于的形式一般是|z|>|r|,r由f(n)决定。

双边ZT的收敛域(ROC)必须考虑。

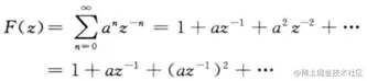
2 常见函数的ZT

级数在用闭式函数表示ZT的时候很有用。闭式函数:由初等函数经有限次初等运算复合而成。

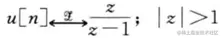
2.1 阶跃函数

在这里插入图片描述

在这里插入图片描述

右边是一个级数:

在这里插入图片描述

把a代成z^(-1):

在这里插入图片描述

因此:

在这里插入图片描述

用ZT的定义求出来的相函数的自变量是z^(-1),看着难受,可以写成:

在这里插入图片描述

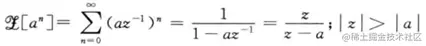
2.2 指数函数

在这里插入图片描述

因此:

在这里插入图片描述

在这里插入图片描述

拓展:如果把a^n表示成

在这里插入图片描述

那么就可以得到

在这里插入图片描述

后面会用到。

2.3 冲激函数

在这里插入图片描述

因此

在这里插入图片描述

如果n_0=0,那么

在这里插入图片描述

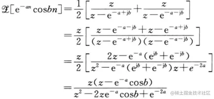
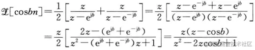
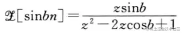
2.4 三角函数

因为

在这里插入图片描述

所以

在这里插入图片描述

利用指数函数的ZT里的结论得到

在这里插入图片描述

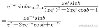
同理

在这里插入图片描述

2.5 衰减振荡函数

在这里插入图片描述

所以

在这里插入图片描述

对比一下4和5:

在这里插入图片描述

这里有一个一般规律(频域伸缩变换特性):

在这里插入图片描述

因此,根据

在这里插入图片描述

可以得到

在这里插入图片描述

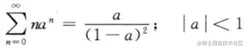
2.6 单位斜坡函数

在这里插入图片描述

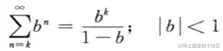
根据幂级数求和公式

在这里插入图片描述

得到

在这里插入图片描述

在这里插入图片描述

2.7 总结

在这里插入图片描述

3 ZT的性质

3.1 线性变换

在这里插入图片描述

3.2 两个函数乘积的z变换~=两个函数z变换的乘积

在这里插入图片描述

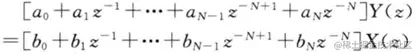
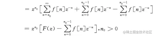
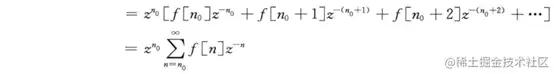
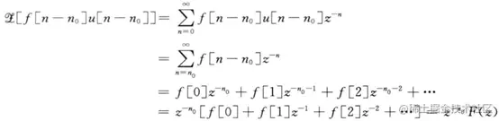
3.3 时域平移特性

在这里插入图片描述

n_0>=0时

在这里插入图片描述

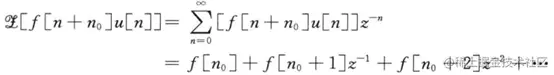
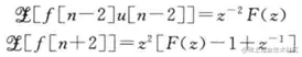
n_0<0时

在这里插入图片描述

在这里插入图片描述

在这里插入图片描述

在这里插入图片描述

在这里插入图片描述

(1)求解差分方程

对于一个α数字滤波器(低通)

在这里插入图片描述

进行ZT:

在这里插入图片描述

因此

在这里插入图片描述

这是差分方程的第三种解法。前面用过的还有经典解法、迭代解法。

定义传递函数为

在这里插入图片描述

用来表示LTIDT系统

在这里插入图片描述

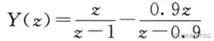
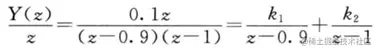
(2)规定α=0.1,求这个滤波器的单位阶跃响应

输入阶跃信号的ZT为

在这里插入图片描述

因此

在这里插入图片描述

再进行IZT就可以得到y(n)了。但是这个Y(z)比较复杂,可以用部分分式展开,先化成查表能查到的形式。同时右边的分子次数比较高,先除过去:

在这里插入图片描述

待定系数求得

在这里插入图片描述

因此

在这里插入图片描述

再查表

在这里插入图片描述

(3)对比不同的平移

在这里插入图片描述

在这里插入图片描述

从第三个可以看出,两个离散间隔的时间提前,使得最初的两个采样值丢失。

符合

在这里插入图片描述

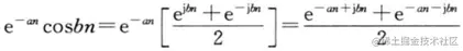
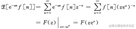
3.4 频域伸缩变换特性/调制特性

在这里插入图片描述

左边乘以e^ (-an),导致 z平面上发生伸缩变换e^ a:a可以是复数,从复数的角度考虑,e^a可以写成模乘以(cos+jsin)的形式,相当于长度变化+角度变化。

3.5 复移位特性

可以从频域伸缩变换特性推。

在这里插入图片描述

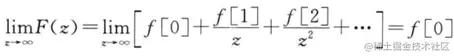
3.6 初值定理

根据F(z),直接得到f(0),不需要再进行IZT

在这里插入图片描述

在这里插入图片描述

3.7 终值定理

根据F(z),直接得到f(n)的稳态值

在这里插入图片描述

使用条件:f[n]的终值,即f[∞]存在(代进去看看就知道了)。一般来说,如果F(z)在单位圆内,除了z=1外仅有单个极点,那么f[0]的终值存在,而且只有在z=1处含有单个极点才能使终值不为0。

3.8 尺度变换

k为正整数时

在这里插入图片描述

m=n/k即n=mk会产生额外的样本值,将所有额外的样本值设为0。

相反,如果是f[nk],k为正整数,那么会导致样本值的丢失。

3.9 时域卷积定理

在这里插入图片描述

3.10 总结

在这里插入图片描述

4 ZT的作用:分析LTIDT系统

4.1 用ZT求H(z)

适用对象:离散线性时不变系统

建模工具:线性常系数差分方程

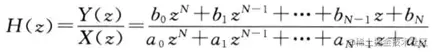
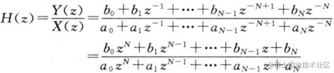
用差分方程表示系统:

在这里插入图片描述

一般为了方便讨论,取M=N(多余的置零):

在这里插入图片描述

根据时间延迟特性:

在这里插入图片描述

得到ZT(这里是单边的ZT,要求信号是因果的,否则延迟特性不能这么用):

在这里插入图片描述

在这里插入图片描述

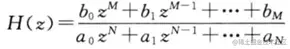
系统的传递函数:

在这里插入图片描述

这个式子和第10章推导的仅适用于复指数输入信号的传递函数相同,但可以用于任何一个可以进行ZT的信号,是第10章中传递函数的推广。

知道传递函数后,就可以用Y(z)=H(z)X(z)求响应了,用部分分式分解法,然后查表凑IZT啥的,前面有例子。

4.2 再从H(z)看系统性质

(1)因果性

对于一个时间提前单元(与后面时刻输入有关,非因果)

在这里插入图片描述

如果初态是0,那么

在这里插入图片描述

得到

在这里插入图片描述

这是时间提前单元的传递函数。在初态为0的假设下,N个级联的效果是

在这里插入图片描述

如果有N个延迟单元,那么传递函数是z^(-N)。

如果H(z)就是上面的简单形式,那么从H(z)就可以一眼看出系统是不是因果的了。但是H(z)未必那么简单,比如它可能是复杂分数

在这里插入图片描述

像这样的H(z)可以拆出整式,也就可以看成是两个系统的并联:一个是z时间提前,另一个是(z+0.9)/(z-0.6),既然有提前的部分,它就是非因果的。实际上,只要分子的次数比分母高,系统就是非因果的。这是通过H(z)判断系统因果性。

疑问:我可以先装一个延迟单元,然后把它的输出接入提前单元,这样的系统虽然有提前单元,但也是可以实现的,从H(z)观察时,会不会因为分子次数高而判断错误?不会,因为延迟单元是z^(-1),如果延迟单元的数目和提前单元的一样的话,分子分母就约分约掉了,不影响H(z)的表达式。其实应该这么表述:如果系统的提前单元个数多于延迟单元的个数,那么它的H(z)的分子次数会高于分母次数,它是非因果的,不可实现的。

对于z的次数是负数的表达式

在这里插入图片描述

则如果a_0=0,那么系统是非因果的。

(2)BIBO稳定性

定义:对于每一个有界输入,都有有界输出。一定是“每一个”,如果输入无穷多个,叠加起来的效果就不好说了;也一定是“有界输入”,否则如果输入是无穷的,输出很难有界,用无穷输入来批评某个系统不稳定是不公平的。

对于下面的传递函数

在这里插入图片描述

分解分母多项式得到:

在这里插入图片描述

它的解就是极点p,如果z取这些值,输出就是无穷的,肯定不稳定。

如果H(z)的极点没有重根(这里只是方便讨论,后面得到的BIBO稳定性条件也是适用于有重根情况的),则输出可以表示为

在这里插入图片描述

其中Y_x(z)表示展开的部分分式中源于输入信号X(z)极点的分式之和。因此,Y_x(z)表示强迫响应分量。这里可能比较抽象,举个例子:

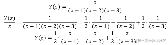
比如,H(z)是这个:

在这里插入图片描述

而输入信号是这个:

在这里插入图片描述

系统的极点是1和2,输入的极点是3。输出是:

在这里插入图片描述

它的第三项就是所谓的Y_x(z),是强迫响应分量。其实从分式拆分的过程也可以看出,既然X(z)的分母乘进了Y(z)里,那么拆分的时候必然又会分出来,所以最后的Y(z)的表达式一定包含了H(z)和X(z)两者的特征。

如果上面的H(z)的分子次数不大于分母(因果),对上面的式子进行IZT:

在这里插入图片描述

它是用下面这对ZT反推的:

在这里插入图片描述

y_n(n)来源于传递函数的极点,因此称为自由响应,与x(n)无关。每个p ^n称为系统的模态(其实就是对传递函数进行IZT之后得到的指数表达式,它反映了系统的特性)。

这样就把y(n)分成了强迫响应和自由响应,强迫响应是由输入决定的,自由响应是由系统决定的。如果x(n)是有界的,那么y_x(n)也是有界的,这是因为它们有相同的函数形式(Y_x(z)和X(z)有相同的极点)。所以,如果想让输出无界,那么必须让y_n(n)无界,也就是至少有一个kp^n是无界的,也就是至少有一个|p|>1。

反过来讲,系统BIBO稳定的条件是:传递函数的所有极点都位于z平面的单位圆内。如图:

在这里插入图片描述

另一种说法:如果系统是稳定的,那么极点都在单位圆内,而h(n)是因果的,所以H(z)的收敛域是(R,∞),要同时满足这两点,就要求R<1,即H(z)的收敛域包括单位圆。这是BIBO稳定的充要条件。

在这里插入图片描述

(3)可逆性

可逆系统的传递函数定义如下:

在这里插入图片描述

在这里插入图片描述

如果原系统的传递函数是这样的(M<=N):

在这里插入图片描述

逆系统是这样的:

在这里插入图片描述

如果要让原系统和逆系统都是因果的,只有M=N

如果原系统稳定,则H的极点都在单位圆内,而逆系统稳定,则H的零点都在单位圆内。两个系统都稳定:H的零极点都在单位圆内。

4.3 从H(z)求系统的频率响应

系统的频率响应:对于不同频率的输入,得到的输出是什么样的。

采样函数的频谱是

在这里插入图片描述

对比双边的ZT:

在这里插入图片描述

在这里插入图片描述

时,二者是相同的(x(nT_s)的T_s一般省略,和f(n)是一样的)。因此,可以说,采样函数的频谱可以投影到z平面的单位圆上。

为了求系统的频率响应,可以令

在这里插入图片描述

并在0<=Ω<=pi范围内计算传递函数,详细介绍在第12章。目前而言,下式在z平面上可以绘制单位圆的上半圆:

在这里插入图片描述

在这里插入图片描述

因此频率变量的范围0<=Ω<=pi是香农采样定理所允许的整个频率范围。

系统的频率响应表示为

在这里插入图片描述

(1)一个例子

在这里插入图片描述

T是采样周期。逆系统是

在这里插入图片描述

在这里插入图片描述

图a是原系统的bode图,图b是逆系统的。从图a可以看出,系统在低频有一个不变的增益,高频则衰减,因此,原系统是一个低通系统。而逆系统是高频系统。

对于指定点的频率响应,这么算:

在这里插入图片描述

在这里插入图片描述

在这里插入图片描述

在图上也可以读出。

在这里插入图片描述

在这里插入图片描述

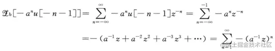
5 双边ZT

5.1 关于收敛域

双边ZT和IZT:

在这里插入图片描述

在这里插入图片描述

和单边的不同,双边的IZT需要知道收敛域才行。

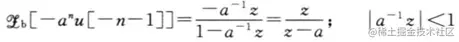
对于右边信号,它的双边ZT和IZT可以直接用单边的公式,只需要注明收敛域(查表)。比如

在这里插入图片描述

收敛域是根据ZT的定义根据级数存在求的。

在这里插入图片描述

计算

在这里插入图片描述

其中u(-n-1)在n>=0时为0,和u(n)互补。

因为

在这里插入图片描述

令b=a^(-1)z,k=1,得到:

在这里插入图片描述

收敛域也可以表示为|z|<|a|。对比一下:

在这里插入图片描述

所以,如果不知道收敛域,那么根据z/(z-a)是不能确定IZT的。

(1)一个例子

在这里插入图片描述

在这里插入图片描述

考虑它们的差

在这里插入图片描述

在这里插入图片描述

但是

在这里插入图片描述

因为右边的两个ZT不存在公共的收敛域,也就是说,对于ZT_b(1)而言,没有收敛的z存在,所以f(n)=1的ZT不存在。

5.2 关于函数和双边ZT的一些定义

(1)右边信号

f(n)=0, n<n_0

(2)左边信号

f(n)=0, n>n_0

(3)双边信号

既不是右边,也不是左边,也就是不存在某个绝对值,使得|n|超过它之后f(n)=0。

(4)时限信号

既是左边,也是右边,可以看成是窗口截出来的。

5.3 双边ZT

对于一个函数,可以分解为两个信号:

在这里插入图片描述

f+是右边信号,f-是左边信号。如果双边ZT存在,那么可以表示为:

在这里插入图片描述

在这里插入图片描述

(1)指数序列的双边ZT

f(n)=a^|n|,如图

在这里插入图片描述

把f(n)表示为

在这里插入图片描述

分别进行ZT:

在这里插入图片描述

在这里插入图片描述

因此

在这里插入图片描述

只有在|a|<1的时候,这个变换才存在。

5.4 收敛域的进一步讨论

(1)f(n)只在n=0和1时非零

f(n)是一个时限信号。

在这里插入图片描述

这个相函数除了z=0外处处存在,因此收敛域是除原点外的整个z平面。

(2)f(n) 只在n=0和-1时非零

在这里插入图片描述

这个相函数在有界的z平面上处处存在,因此收敛域是除了无穷远处之外的整个z平面。

(3)f(n)是任一时限信号

一般来说,F_b(z)只能在原点和无穷点有极点。即,一个有限序列的双边ZT在有界的z平面上处处存在,原点可能除外。

(4)双边ZT的收敛域形式

右边信号:中心圆的外部

左边信号:中心圆的内部(原点可能除外)

双边信号:中心圆环

时限信号:整个有界的z平面(原点可能除外)

注意:收敛域都是开集,边界上常常有极点。

5.5 双边IZT

如何求双边IZT?

先拆开:

在这里插入图片描述

F+的极点在收敛域内侧,F-的极点在收敛域外侧,由此判断收敛域,得到F。

对于

在这里插入图片描述

在这里插入图片描述

极点在收敛域内侧,f(n)是右边信号,因此

在这里插入图片描述

对于

在这里插入图片描述

在这里插入图片描述

收敛域在外侧,是左边信号

在这里插入图片描述

对于

在这里插入图片描述

在这里插入图片描述

收敛域是圆环,z/(z-0.25)是右边的,z/(z-0.5)是左边的

在这里插入图片描述

参考文献

[1]Charles L.Phillips,John M.Parr,Eve A.Riskin(2014).信号、系统和变换(陈从颜等).北京:机械工业出版社(2015.1).