leetcode-输出二叉树

215 阅读1分钟

携手创作,共同成长!这是我参与「掘金日新计划 · 8 月更文挑战」的第23天,点击查看活动详情

题目描述

给你一棵二叉树的根节点 root ,请你构造一个下标从 0 开始、大小为 m x n 的字符串矩阵 res ,用以表示树的 格式化布局 。构造此格式化布局矩阵需要遵循以下规则:

  • 树的 高度 为 height ,矩阵的行数 m 应该等于 height + 1 。
  • 矩阵的列数 n 应该等于 2height+1 - 1 。
  • 根节点 需要放置在 顶行 的 正中间 ,对应位置为 res[0][(n-1)/2] 。
  • 对于放置在矩阵中的每个节点,设对应位置为 res[r][c] ,将其左子节点放置在 res[r+1][c-2height-r-1] ,右子节点放置在 res[r+1][c+2height-r-1] 。
  • 继续这一过程,直到树中的所有节点都妥善放置。
  • 任意空单元格都应该包含空字符串 "" 。

返回构造得到的矩阵 res 。  

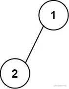
示例 1:

655示例1.jpg

输入:root = [1,2]
输出:
[["","1",""],
 ["2","",""]]

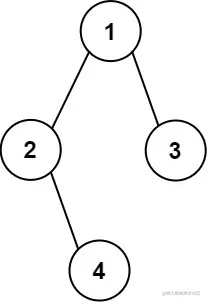
示例 2:

655示例2.jpg

输入:root = [1,2,3,null,4]
输出:
[["","","","1","","",""],
 ["","2","","","","3",""],
 ["","","4","","","",""]]

提示:

  • 树中节点数在范围 [1, 210] 内
  • -99 <= Node.val <= 99
  • 树的深度在范围 [1, 10] 内

思路

显然,先要遍历树获取height的值,然后可以构造出二维数组的大小,然后就是把节点的值放置到二维数组正确的位置中。获取height的值,我们可以使用递归的方式,当前节点的深度 = max(左子节点深度+1, 右子节点深度+1, 0)。获取了height的值后,我们考虑如果把根节点放置到对应的位置,我们定义当前应该放在第row行,col可选范围在[colStart, colEnd]之间,放置好根节点后,再递归调用方法本身去放置左子节点和右子节点,row = row + 1,左子节点的col可选范围在[colStart, (colStart+colEnd)/2-1],右子节点的col可选范围在[(colStart+colEnd)/2+1, colEnd]。

Java版本代码

class Solution {
    public List<List<String>> printTree(TreeNode root) {
        int depth = getDepth655(root);
        int m = depth + 1;
        int n = 1;
        while (depth-- >= 0) {
            n = n<<1;
        }
        n -= 1;
        List<List<String>> ans = new ArrayList<>();
        for (int i = 0; i < m; i++) {
            List<String> list = new ArrayList<>();
            for (int j = 0; j < n; j++) {
                list.add("");
            }
            ans.add(list);
        }
        fillAns655(ans, 0, 0, n-1, root);
        return ans;
    }

    private int getDepth655(TreeNode root) {
        int depth = 0;
        if (root.left != null) {
            depth = Integer.max(depth, getDepth655(root.left) + 1);
        }
        if (root.right != null) {
            depth = Integer.max(depth, getDepth655(root.right) + 1);
        }
        return depth;
    }

    private void fillAns655(List<List<String>> ans, int row, int colStart, int colEnd, TreeNode node) {
        List<String> list = ans.get(row);
        list.set((colStart+colEnd)/2, String.valueOf(node.val));
        if (node.left != null) {
            fillAns655(ans, row+1, colStart, (colStart+colEnd)/2-1, node.left);
        }
        if (node.right != null) {
            fillAns655(ans, row+1, (colStart+colEnd)/2+1, colEnd, node.right);
        }
    }
}