【08.09 每日一题】654. 最大二叉树

140 阅读1分钟

654. 最大二叉树

给定一个不重复的整数数组 nums 。 最大二叉树 可以用下面的算法从 nums 递归地构建:

创建一个根节点,其值为 nums 中的最大值。 递归地在最大值 左边 的 子数组前缀上 构建左子树。 递归地在最大值 右边 的 子数组后缀上 构建右子树。 返回 nums 构建的 最大二叉树 。

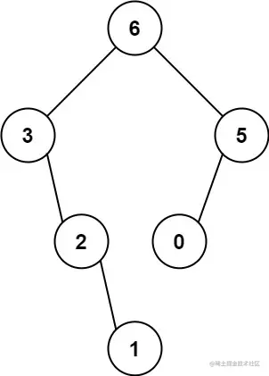
示例1

输入:nums = [3,2,1,6,0,5]
输出:[6,3,5,null,2,0,null,null,1]
解释:递归调用如下所示:
- [3,2,1,6,0,5] 中的最大值是 6 ,左边部分是 [3,2,1] ,右边部分是 [0,5] 。
    - [3,2,1] 中的最大值是 3 ,左边部分是 [] ,右边部分是 [2,1] 。
        - 空数组,无子节点。
        - [2,1] 中的最大值是 2 ,左边部分是 [] ,右边部分是 [1] 。
            - 空数组,无子节点。
            - 只有一个元素,所以子节点是一个值为 1 的节点。
    - [0,5] 中的最大值是 5 ,左边部分是 [0] ,右边部分是 [] 。
        - 只有一个元素,所以子节点是一个值为 0 的节点。
        - 空数组,无子节点。

示例2

输入: nums = [3,2,1]
输出: [3,null,2,null,1]

示例3

输入: nums = [1,-2,-3]
输出: 5

思路

解法

/**
 * Definition for a binary tree node.
 * type TreeNode struct {
 *     Val int
 *     Left *TreeNode
 *     Right *TreeNode
 * }
 */
func constructMaximumBinaryTree(nums []int) *TreeNode {
    if len(nums)==0{
        return nil
    }
    maxValue:=math.MinInt32
    index:=-1
    for i:=0;i<len(nums);i++{
        if nums[i]>maxValue{
            maxValue=nums[i]
            index=i
        }
    }
    node:=&TreeNode{
        Val:maxValue,
    }
    node.Left=constructMaximumBinaryTree(nums[:index])
    node.Right=constructMaximumBinaryTree(nums[index+1:])
    return node
}

结果

image.png