算法理论:信号与系统3拉普拉斯变换

225 阅读4分钟

本文已参与「新人创作礼」活动,一起开启掘金创作之路。

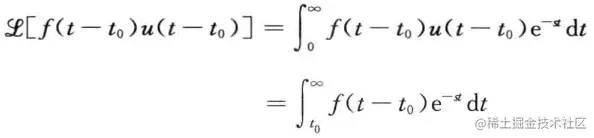
变换的目的:让一种处理方式转换为另一种处理方式(最显然的影响是,乘法比卷积简单,或者系统特性更容易观察)。

对象:连续系统。变换前后:常系数微分方程-代数方程。

常系数微分方程是用来描述连续系统的,进行LT之后的代数方程也能起到这个作用,而且形式更简单。

1 LT的定义

1.1 LT的类型和定义式

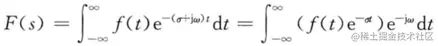
(1)双边LT(下标带b)

在这里插入图片描述

其实是把FT的jw改成了s,而LT中的s=σ+jw,相当于FT定义在虚轴上,而LT定义在整个s平面,进 行了拓展。上式代入s=σ+jw:

在这里插入图片描述

也可以认为双边LT是信号乘以指数函数之后,再进行FT。

(2)单边LT

把双边的拆开:

在这里插入图片描述

规定f(t)是因果的(t<0的时候是0),那么:

在这里插入图片描述

这是单边LT(下面简称LT,而双边的LT会特地说明),没有下标b了。

一般把f(t)称为原函数,F(s)称为相函数。

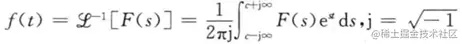
1.2 ILT

反演积分:

在这里插入图片描述

这个积分是在s平面的一条竖直线上进行的。不管是对单边还是双边LT,ILT都是这个形式(没研究为啥),但是对于单边LT对应的ILT,规定t<0时f(t)=0,从而保证ILT(LT(f(t)))=f(t)。

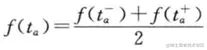
如果f(t)在t=t_a处不连续,那么定义

在这里插入图片描述

一般求ILT的时候不用这个积分公式,太烦了,一般是查表。

1.3 可以进行LT的条件与收敛域概念

如果f(t)是指数阶函数,它就可以进行LT。

指数阶函数:当t大于有限值t_0时,如果存在两个正实常数M和a,使得:

在这里插入图片描述

那么f(t)就是指数阶函数。可以理解为某种“特殊的有界”:一般的有界是|f(t)|<M,即“M可以笼罩f(t)”,f(t)是“常数阶函数”;这里是“Me^(at)可以笼罩f(t)”,f(t)就称“指数阶函数”。

至于为什么是指数阶函数?可能是由于LT的定义式中f(t)乘以了e^ (-st),因此,一个指数阶函数f(t)才能产生一个极小量f(t)e^ (-st),满足0到∞可积而不发散。

在这里插入图片描述

这里的LT存在条件也是要让积分结果是有限量。这里的存在条件可以视为:s在右半平面。下面这个例子也差不多:存在条件是s在-a的右面。

在这里插入图片描述

收敛域:LT在s平面存在(即f(t)可以进行LT)的区域称收敛域(region of convergence, ROC)。

重新审视ILT的定义:

在这里插入图片描述

参数c是自己选的,要求它在LT的收敛域内(但一般不用积分求ILT,知道就好)。c的最小值称为绝对收敛坐标。

双边LT的时候要格外注意收敛域问题!

2 常见函数的LT

7.1里面已经求过了两个,再求点别的。要注意的是,每个LT都有对应的收敛域,只不过在做单边LT的时候没有太明显的影响,强调得比较少。

2.1 阶跃函数

在这里插入图片描述

(收敛域s>0)

2.2 指数函数

在这里插入图片描述

(收敛域s>-a)

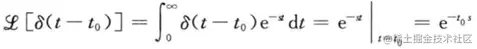
2.3 单位冲激函数

因为

在这里插入图片描述

所以

在这里插入图片描述

在这里插入图片描述

如果t_0=1,就是单位冲激函数,对应:

在这里插入图片描述

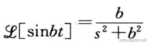
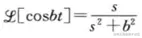
2.4 正弦函数

因为

在这里插入图片描述

代入指数函数的LT后,得到

在这里插入图片描述

在这里插入图片描述

类似地有

在这里插入图片描述

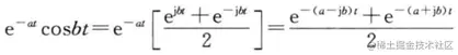
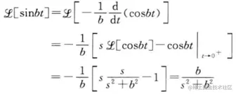
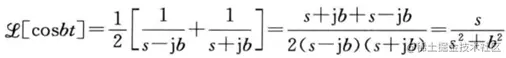
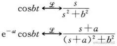
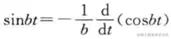
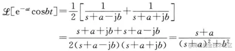
2.5 衰减余弦函数和衰减正弦函数

因为

在这里插入图片描述

所以

在这里插入图片描述

对比一下4和5里面的结论:

在这里插入图片描述

这里其实藏了一个复频移特性(时域乘指数=频域平移,因为s一般是复数,所以a也可能是复数,所以叫“复”频移):

在这里插入图片描述

类似的,根据

在这里插入图片描述

很容易有

在这里插入图片描述

但是——

在这里插入图片描述

一般来说

在这里插入图片描述

2.6 单位斜坡函数

把被积变量换元成st:

在这里插入图片描述

在这里插入图片描述

2.7 总结

在这里插入图片描述

3 LT的性质

3.1 线性变换

在这里插入图片描述

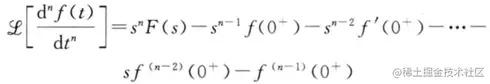
3.2 时域微分特性

在这里插入图片描述

但f(t)在t=0处一般是不连续的;另外,f(0)的值应该要保证不影响到LT。所以,用f(0+)代替f(0):

在这里插入图片描述

推广到更高阶:

在这里插入图片描述

这条性质要求用到的导数都存在,并且这条性质不能用在单位阶跃函数上。

在这里插入图片描述

这个性质主要用来对微分方程进行LT。

(1)一个例子

对于下面的电路

在这里插入图片描述

激励电压V是常数,电路的微分方程是

在这里插入图片描述

LT得到:

在这里插入图片描述

右边V是常数,不管,剩下的是对u(t)进行LT,前面推过,是1/s。

初值:因为t<0时开关未闭合,i(0)=0,而且有电感,电流不可能突变,所以i(0+)=0。代入求解得:

在这里插入图片描述

然后进行ILT就可以得到i(t)了。但是这个I(s)比较复杂,查表没有直接的ILT方法,用部分分式展开:

在这里插入图片描述

求出待定系数:

在这里插入图片描述

然后再查表,就有了:

在这里插入图片描述

(要求t>0,因为i(t)要求是因果的)

(2)另一个例子

一方面,有

在这里插入图片描述

另一方面,根据

在这里插入图片描述

所以

在这里插入图片描述

二者相等。

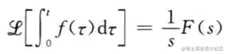
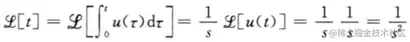
3.3 时域积分

在这里插入图片描述

这条性质也可以推广到n阶。

(1)用时域积分性质求单位斜坡函数的LT

因为

在这里插入图片描述

所以

在这里插入图片描述

3.4 复频移特性

在这里插入图片描述

3.5 时间变换运算

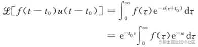
(1)时域平移

以斜坡函数为例,有

在这里插入图片描述

令τ=t-t_0,那么t=τ+t_0,dt=dτ,得到

在这里插入图片描述

因为这里的τ只是积分变量,可以重新写成t,而积分结果就是F(t),所以有

在这里插入图片描述

其中t_0>=0。

(2)时间变换运算

对时域平移进行推广:

在这里插入图片描述

(3)利用时域平移特性求延时指数函数的LT

在这里插入图片描述

进行延时:

在这里插入图片描述

在这里插入图片描述

根据性质得到:

在这里插入图片描述

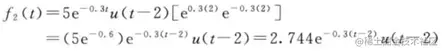
(4)复杂延时函数的LT

对于

在这里插入图片描述

它的波形与(1)中不同,形状不移动,只是截的区域往右移了:

在这里插入图片描述

整理一下,凑出能用性质的形式:

在这里插入图片描述

然后利用性质得到

在这里插入图片描述

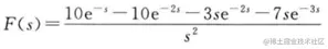
(5)分段线性函数的LT

对于下面这个函数

在这里插入图片描述

它的表达式是

在这里插入图片描述

每一项都符合延迟函数的特性,所以

在这里插入图片描述

在这里插入图片描述

一般来说,F(s)是多项式形式,这里出现了指数,能够反推系统是有延时环节的。

(6)时间变换的实例

在这里插入图片描述

3.6 时间函数与t相乘

在这里插入图片描述

(1)例子

根据

在这里插入图片描述

在这里插入图片描述

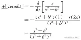
(2)例子

在这里插入图片描述

在这里插入图片描述

3.7 初值定理

用途:从F(s)直接求f(0+),而不需要先进行ILT

在这里插入图片描述

条件:s取正实数,f(t)在t>=0时必须是连续的,在有限时间内只能有有限个间断点。

这条性质可以用于线性系统分析。

3.8 终值定理

在这里插入图片描述

条件:f(t)具有终值,且在t>=0时连续,在有限时间内只能有有限个间断点。注意:即使f(t)没有终值,按公式算也能得到一个有限值,但是是错的!

3.9 总结

在这里插入图片描述

参考文献

[1]Charles L.Phillips,John M.Parr,Eve A.Riskin(2014).信号、系统和变换(陈从颜等).北京:机械工业出版社(2015.1).