最大二叉树

170 阅读1分钟

携手创作,共同成长!这是我参与「掘金日新计划 · 8 月更文挑战」的第25天,点击查看活动详情

654. 最大二叉树 - 力扣(LeetCode)

给定一个不重复的整数数组 nums 。 最大二叉树 可以用下面的算法从 nums 递归地构建:

  1. 创建一个根节点,其值为 nums 中的最大值。
  2. 递归地在最大值 左边 的 子数组前缀上 构建左子树。
  3. 递归地在最大值 右边 的 子数组后缀上 构建右子树。

返回 nums 构建的 最大二叉树

示例 1:

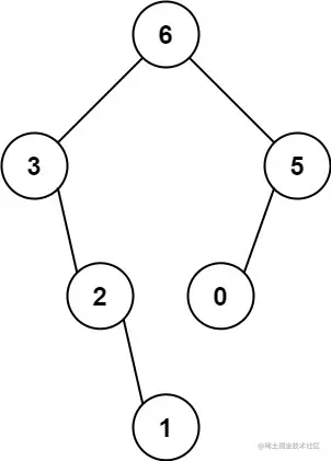
输入: nums = [3,2,1,6,0,5]
输出: [6,3,5,null,2,0,null,null,1]
解释: 递归调用如下所示:

  • [3,2,1,6,0,5] 中的最大值是 6 ,左边部分是 [3,2,1] ,右边部分是 [0,5] 。
    • [3,2,1] 中的最大值是 3 ,左边部分是 [] ,右边部分是 [2,1] 。
      • 空数组,无子节点。
      • [2,1] 中的最大值是 2 ,左边部分是 [] ,右边部分是 [1] 。
        • 空数组,无子节点。
        • 只有一个元素,所以子节点是一个值为 1 的节点。
    • [0,5] 中的最大值是 5 ,左边部分是 [0] ,右边部分是 [] 。
      • 只有一个元素,所以子节点是一个值为 0 的节点。
      • 空数组,无子节点。

示例 2:

输入: nums = [3,2,1]
输出: [3,null,2,null,1]

提示:

  • 1 <= nums.length <= 1000
  • 0 <= nums[i] <= 1000
  • nums 中的所有整数 互不相同