LeetCode 视频演示:0654. 最大二叉树(视频做了近2h~_~)

95 阅读3分钟

本文已参与「新人创作礼」活动,一起开启掘金创作之路。

【LetMeFly】视频演示:654.最大二叉树(视频做了近2h😭)

力扣题目链接:leetcode.cn/problems/ma…

给定一个不重复的整数数组 nums 。 最大二叉树 可以用下面的算法从 nums 递归地构建:

  1. 创建一个根节点,其值为 nums 中的最大值。
  2. 递归地在最大值 左边 的 子数组前缀上 构建左子树。
  3. 递归地在最大值 右边 的 子数组后缀上 构建右子树。

返回 nums 构建的 最大二叉树

 

示例 1:

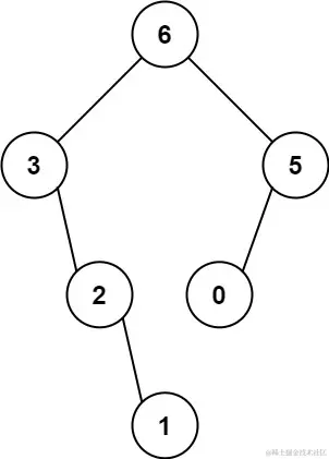
输入:nums = [3,2,1,6,0,5]
输出:[6,3,5,null,2,0,null,null,1]
解释:递归调用如下所示:
- [3,2,1,6,0,5] 中的最大值是 6 ,左边部分是 [3,2,1] ,右边部分是 [0,5] 。
    - [3,2,1] 中的最大值是 3 ,左边部分是 [] ,右边部分是 [2,1] 。
        - 空数组,无子节点。
        - [2,1] 中的最大值是 2 ,左边部分是 [] ,右边部分是 [1] 。
            - 空数组,无子节点。
            - 只有一个元素,所以子节点是一个值为 1 的节点。
    - [0,5] 中的最大值是 5 ,左边部分是 [0] ,右边部分是 [] 。
        - 只有一个元素,所以子节点是一个值为 0 的节点。
        - 空数组,无子节点。

示例 2:

输入:nums = [3,2,1]
输出:[3,null,2,null,1]

 

提示:

  • 1 <= nums.length <= 1000
  • 0 <= nums[i] <= 1000
  • nums 中的所有整数 互不相同

方法一:暴力递归

如题目所描述,递归求解。

每次遍历一遍数组找到当前递归范围内的最大的数的位置,以此为根节点,前后缀数组分别继续递归,直到数组为空。

  • 时间复杂度O(n2)O(n^2), 其中nn是数组中元素的个数。最差的情况下,原数组有序排列,递归数组中最大的元素都在数组端点,二叉树退化成了一个“链表”
  • 空间复杂度O(n)O(n)

AC代码

C++

class Solution {
private:
    TreeNode* main(vector<int>::iterator l, vector<int>::iterator r) {
        if (l >= r)  // 数组为空
            return nullptr;
        vector<int>::iterator maxIt = l;  // 用来记录最大值的位置
        int maxVal = *l;
        for (vector<int>::iterator it = l; it != r; it++) {  // 找到最大值
            if (*it > maxVal) {
                maxVal = *it;
                maxIt = it;
            }
        }
        return new TreeNode(maxVal, main(l, maxIt), main(maxIt + 1, r));  // 以最大值为根,前后缀分别递归建树。
    }
public:
    TreeNode* constructMaximumBinaryTree(vector<int>& nums) {
        return main(nums.begin(), nums.end());
    }
};

方法二:单调栈

用栈来存放节点,构造一个单调递减栈。

遍历数组,进行以下33步操作:

  1. 当栈顶元素小于当前元素时,不断弹出栈顶元素,并把当前元素的左子赋值为栈顶元素
  2. 如果栈顶还有元素(那么一定比当前元素大),就把栈顶元素的右子赋值为当前元素
  3. 当前元素入栈
  • 时间复杂度O(n)O(n), 其中nn是数组中元素的个数
  • 空间复杂度O(n)O(n)

AC代码

C++

class Solution {
public:
    TreeNode* constructMaximumBinaryTree(vector<int>& nums) {
        stack<TreeNode*> st;
        for (int &t : nums) {
            TreeNode* thisNode = new TreeNode(t);
            while (st.size() && st.top()->val < t) {
                thisNode->left = st.top();
                st.pop();
            }
            if (st.size()) {
                st.top()->right = thisNode;
            }
            st.push(thisNode);
        }
        TreeNode* ans;
        while (st.size()) {
            ans = st.top();
            st.pop();
        }
        return ans;
    }
};

视频制作不易,喜欢了就点个赞再走吧

掘金似乎不支持视频上传,因此贴上一个BiliBili链接:

BiliBili视频地址: b23.tv/ktZRYxI _

同步发文于我的CSDN,原创不易,转载请附上原文链接哦~
Tisfy:letmefly.blog.csdn.net/article/det…