【LeetCode每日一题】654.最大二叉树

81 阅读2分钟

携手创作,共同成长!这是我参与「掘金日新计划 · 8 月更文挑战」的第19天,点击查看活动详情

【LeetCode每日一题】654.最大二叉树

题目链接:leetcode.cn/problems/ma…

题目难度:中等

题意

给定一个不重复的整数数组 nums 。 最大二叉树 可以用下面的算法从 nums 递归地构建:

创建一个根节点,其值为 nums 中的最大值。 递归地在最大值 左边 的 子数组前缀上 构建左子树。 递归地在最大值 右边 的 子数组后缀上 构建右子树。 返回 nums 构建的 最大二叉树 。

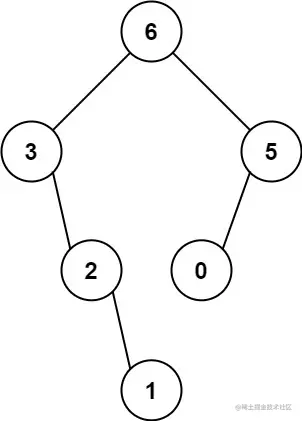
示例1:

image.png

输入:nums = [3,2,1,6,0,5]
输出:[6,3,5,null,2,0,null,null,1]
解释:递归调用如下所示:
- [3,2,1,6,0,5] 中的最大值是 6 ,左边部分是 [3,2,1] ,右边部分是 [0,5] 。
    - [3,2,1] 中的最大值是 3 ,左边部分是 [] ,右边部分是 [2,1] 。
        - 空数组,无子节点。
        - [2,1] 中的最大值是 2 ,左边部分是 [] ,右边部分是 [1] 。
            - 空数组,无子节点。
            - 只有一个元素,所以子节点是一个值为 1 的节点。
    - [0,5] 中的最大值是 5 ,左边部分是 [0] ,右边部分是 [] 。
        - 只有一个元素,所以子节点是一个值为 0 的节点。
        - 空数组,无子节点。

示例2:

image.png

输入:nums = [3,2,1]
输出:[3,null,2,null,1]

提示:

  • 1 <= nums.length <= 1000
  • 0 <= nums[i] <= 1000
  • nums 中的所有整数 互不相同

题解:dfs

直接按照题意模拟即可。假设当前在nums[l]至nums[r]中构造最大二叉树:

  • 如果l>r:则构造不了,返回空二叉树
  • 否则的话,寻找该区间中最大值,然后再递归的构造其左子树和右子树

具体见代码。

C++代码

/**
 * Definition for a binary tree node.
 * struct TreeNode {
 *     int val;
 *     TreeNode *left;
 *     TreeNode *right;
 *     TreeNode() : val(0), left(nullptr), right(nullptr) {}
 *     TreeNode(int x) : val(x), left(nullptr), right(nullptr) {}
 *     TreeNode(int x, TreeNode *left, TreeNode *right) : val(x), left(left), right(right) {}
 * };
 */
class Solution {
public:
    TreeNode* constructMaximumBinaryTree(vector<int>& nums) {
        return dfs(nums,0,nums.size()-1);
    }
    TreeNode* dfs(vector<int>& nums,int l,int r){
        if(l>r) return nullptr;
        int pos=l,maxnum=nums[l];
        for(int i=l+1;i<=r;i++){
            if(nums[i]>maxnum) maxnum=nums[i],pos=i;
        }
        TreeNode* root=new TreeNode();
        root->val=maxnum;
        root->left=dfs(nums,l,pos-1);
        root->right=dfs(nums,pos+1,r);
        return root;
    }
};