力扣每日一题0820-654. 最大二叉树

85 阅读4分钟

携手创作,共同成长!这是我参与「掘金日新计划 · 8 月更文挑战」的第20天,点击查看活动详情

给定一个不重复的整数数组 nums 。 最大二叉树 可以用下面的算法从 nums 递归地构建:

  • 创建一个根节点,其值为 nums 中的最大值。
  • 递归地在最大值 左边 的 子数组前缀上 构建左子树。
  • 递归地在最大值 右边 的 子数组后缀上 构建右子树。

返回 nums 构建的 最大二叉树

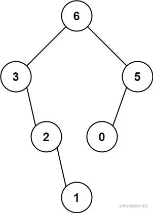
示例 1:

image.png

**输入:nums = [3,2,1,6,0,5]
输出:[6,3,5,null,2,0,null,null,1]
解释:递归调用如下所示:
- [3,2,1,6,0,5] 中的最大值是 6 ,左边部分是 [3,2,1] ,右边部分是 [0,5] 。
    - [3,2,1] 中的最大值是 3 ,左边部分是 [] ,右边部分是 [2,1] 。
        - 空数组,无子节点。
        - [2,1] 中的最大值是 2 ,左边部分是 [] ,右边部分是 [1] 。
            - 空数组,无子节点。
            - 只有一个元素,所以子节点是一个值为 1 的节点。
    - [0,5] 中的最大值是 5 ,左边部分是 [0] ,右边部分是 [] 。
        - 只有一个元素,所以子节点是一个值为 0 的节点。
        - 空数组,无子节点。**

递归

最简单的方法是直接按照题目描述进行模拟。

我们用递归函数 construct(nums,left,right)\text{construct}(\textit{nums}, \textit{left}, \textit{right}) 表示对数组 nums\textit{nums} 中从 nums[left]\textit{nums}[\textit{left}]nums[right]\textit{nums}[\textit{right}] 的元素构建一棵树。我们首先找到这一区间中的最大值,记为 nums\textit{nums} 中从 nums[best]\textit{nums}[\textit{best}],这样就确定了根节点的值。随后我们就可以进行递归:

  • 左子树为 construct(nums,left,best1)\text{construct}(\textit{nums}, \textit{left}, \textit{best}-1)
  • 右子树为 construct(nums,best+1,right)\text{construct}(\textit{nums}, \textit{best}+1, \textit{right})
var constructMaximumBinaryTree = function(nums) {
    const construct = (nums, left, right) => {
        if (left > right) {
            return null;
        }
        let best = left;
        for (let i = left + 1; i <= right; ++i) {
            if (nums[i] > nums[best]) {
                best = i;
            }
        }
        const node = new TreeNode(nums[best]);
        node.left = construct(nums, left, best - 1);
        node.right = construct(nums, best + 1, right);
        return node;
    }
    return construct(nums, 0, nums.length - 1);
};

单调栈

我们可以将题目中构造树的过程等价转换为下面的构造过程:

  • 初始时,我们只有一个根节点,其中存储了整个数组;
  • 在每一步操作中,我们可以「任选」一个存储了超过一个数的节点,找出其中的最大值并存储在该节点。最大值左侧的数组部分下放到该节点的左子节点,右侧的数组部分下放到该节点的右子节点;
  • 如果所有的节点都恰好存储了一个数,那么构造结束。

由于最终构造出的是一棵树,因此无需按照题目的要求「递归」地进行构造,而是每次可以「任选」一个节点进行构造。这里可以类比一棵树的「深度优先搜索」和「广度优先搜索」,二者都可以起到遍历整棵树的效果。

既然可以任意进行选择,那么我们不妨每次选择数组中最大值最大 的那个节点进行构造。这样一来,我们就可以保证按照数组中元素降序排序的顺序依次构造每个节点。因此:

当我们选择的节点中数组的最大值为 nums[i]\textit{nums}[i] 时,所有大于 nums[i]\textit{nums}[i] 的元素已经被构造过(即被单独放入某一个节点中),所有小于 nums[i]\textit{nums}[i] 的元素还没有被构造过。

这就说明:

在最终构造出的树上,以 nums[i]\textit{nums}[i] 为根节点的子树,在原数组中对应的区间,左边界为 nums[i]\textit{nums}[i] 左侧第一个比它大的元素所在的位置,右边界为 nums[i]\textit{nums}[i] 右侧第一个比它大的元素所在的位置。左右边界均为开边界。

如果某一侧边界不存在,则那一侧边界为数组的边界。如果两侧边界均不存在,说明其为最大值,即根节点。

并且:

nums[i]\textit{nums}[i]的父结点是两个边界中较小的那个元素对应的节点。

var constructMaximumBinaryTree = function(nums) {
    const n = nums.length;
    const stack = [];
    const left = new Array(n).fill(-1);
    const right = new Array(n).fill(-1);
    const tree = new Array(n).fill(-1);
    for (let i = 0; i < n; ++i) {
        tree[i] = new TreeNode(nums[i]);
        while (stack.length && nums[i] > nums[stack[stack.length - 1]]) {
            right[stack.pop()] = i;
        }
        if (stack.length) {
            left[i] = stack[stack.length - 1];
        }
        stack.push(i);
    }

    let root = null;
    for (let i = 0; i < n; ++i) {
        if (left[i] === -1 && right[i] === -1) {
            root = tree[i];
        } else if (right[i] === -1 || (left[i] !== -1 && nums[left[i]] < nums[right[i]])) {
            tree[left[i]].right = tree[i];
        } else {
            tree[right[i]].left = tree[i];
        }
    }
    return root;
};