算法--最大二叉树

76 阅读2分钟

携手创作,共同成长!这是我参与「掘金日新计划 · 8 月更文挑战」的第23天,点击查看活动详情

题目

leetcode 654. 最大二叉树

给定一个不重复的整数数组 nums 。 最大二叉树 可以用下面的算法从 nums 递归地构建:

创建一个根节点,其值为 nums 中的最大值。 递归地在最大值 左边 的 子数组前缀上 构建左子树。 递归地在最大值 右边 的 子数组后缀上 构建右子树。 返回 nums 构建的 最大二叉树 。

 

示例 1:

image.png




输入:nums = [3,2,1,6,0,5]
输出:[6,3,5,null,2,0,null,null,1]
解释:递归调用如下所示:
- [3,2,1,6,0,5] 中的最大值是 6 ,左边部分是 [3,2,1] ,右边部分是 [0,5] 。
    - [3,2,1] 中的最大值是 3 ,左边部分是 [] ,右边部分是 [2,1] 。
        - 空数组,无子节点。
        - [2,1] 中的最大值是 2 ,左边部分是 [] ,右边部分是 [1] 。
            - 空数组,无子节点。
            - 只有一个元素,所以子节点是一个值为 1 的节点。
    - [0,5] 中的最大值是 5 ,左边部分是 [0] ,右边部分是 [] 。
        - 只有一个元素,所以子节点是一个值为 0 的节点。
        - 空数组,无子节点。

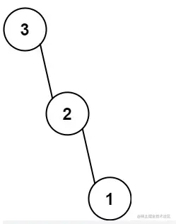
示例 2:

image.png


输入:nums = [3,2,1]
输出:[3,null,2,null,1]

提示:

1 <= nums.length <= 1000 0 <= nums[i] <= 1000 nums 中的所有整数 互不相同

题解

题目的意思很明确了,可以使用递归来求解,先要找到数组中最大的值和对应的下标, 最大的值构造根节点,下标用来下一步分割数组。而且题目的数据量只有1000,使用递归,最差的情况生成的二叉树退化成一个链表结构,每层都需要遍历所有元素找到最大值,使用递归是可以通过的。

var constructMaximumBinaryTree = function(nums) {
const construct = (nums, left, right) => {
        if (left > right) {
            return null;
        }
        let best = left;
        for (let i = left + 1; i <= right; ++i) {
            if (nums[i] > nums[best]) {
                best = i;
            }
        }
        const node = new TreeNode(nums[best]);
        node.left = construct(nums, left, best - 1);
        node.right = construct(nums, best + 1, right);
        return node;
    }
    return construct(nums, 0, nums.length - 1);
};

代码详解

创建一个辅助函数consturct目的是方便增加新参数,深度左子树和右子树。得到一个最大值然后创建一个新的节点来储存。然后递归这个过程最后返回根节点。