本文已参与「新人创作礼」活动,一起开启掘金创作之路。
1 连续时间信号的变换
实变量实函数的六种基本变换:
(1)时间反转变换(关于独立变量t)
用卷积求输入信号作用下系统的输出响应会用到时间反转变换。
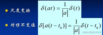
(2)时间尺度变换(关于独立变量t)
a为实数。绝对值大于1时压缩,绝对值小于1时拉伸。
独立变量的尺度变换可以用于某些滤波器设计(第6章)。
(3)时间移位变换(关于独立变量t)
t0为给定时间常数。t0为正表示延时,t0为负表示提前。
计算激励信号作用下系统的输出响应需要用到这个。
以上三种变换可以用一个通式描述:
技巧:不管t前面是正还是负,如果先移动再反转,移动的距离符号不改变,还是照常移动,比较好算。
(4)幅值变换(关于信号x)
三种幅值变换可以用通式描述:
对于离散信号:由于f(ak)仅在ak为整数时才有意义,进行尺度变换时可能会使部分信号丢失,因此一般不作波形的尺度变换。(从f(k)变到f(ak),而离散信号只取自变量为整数的点,如果a<1,则部分ak对应不上整数,就没了。比如a=0.5就丢了一半,因为f(0.5)不取。如果|a|>1且a为整数,就还行)9.2节有离散信号的特殊尺度变换。
2 信号的性质
(1)奇偶性
偶函数:
奇函数:
任何信号都可以表示为偶分量和奇分量之和:
其中x_e为偶分量,x_o为奇分量。
如何求奇分量和偶分量?先求x(-t):
两式相加减,就得到了偶分量
和奇分量
特殊的偶分量——信号的平均值:
为什么平均值是偶分量?因为奇分量的平均值是0。
(2)周期性
周期信号满足:
任何nT都是它的周期。其中最小的T=T_0是基本周期。
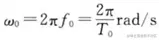
则基频为:
角频率为:
验证周期性:
m是任意整数,所以周期是N而不是mN
连续时间周期信号的和:
离散信号的包络线是周期信号时,这个离散信号未必是周期性的:
3 复指数函数的性质
(1)当C和a都是实数
a<0时,复指数函数写成
τ称为时间常数,用来表示衰减的快慢。
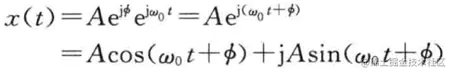
(2)当C为复数,a为虚数
根据欧拉公式,可以表示为
这个函数的实部和虚部都是周期性的,所以这个函数也是周期性的。
特别的,谐波复指函数集是由一系列离散频率复指数函数组成的集合,表示为:
后面周期函数展开为傅里叶级数的时候会用到。
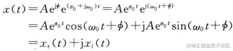
(3)C和a都是复数
展开:
σ_0=0时,称为无阻尼振荡信号。
对于信号的实部和虚部,有:
不等式两边为包络线,时间常数为τ。当σ_0<0时,为衰减振荡。
4 奇异函数
奇异函数(singularity functions):即本身、其导数或其积分有不连续点的函数。
也是指对冲激函数求导或积分得到的函数。
(1)单位阶跃函数(unit step function)
对于任意正整数k,有:
另有:
发生跳变时的函数值可以定义为0,1,0.5:
作用1:信号加窗或取单边
作用2:用阶跃表示矩形脉冲
例:(从左往右写)
(2)单位矩形脉冲 (unit rectangular pulse)
可以用阶跃函数描述:
时移矩形脉冲:
作用:提取部分信号。比如一个周期信号在一个周期内的函数:
即
(3)单位斜坡函数(unit ramp function)
定义为: t u(t), [ t-t0] u(t-t0)
单位阶跃函数可以看成单位斜坡函数的导数;反之是积分。
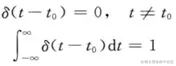
(4)单位冲激函数(unit impulse function)
也叫狄拉克函数,可以看作单位阶跃函数在t_0点的导数。
定义(不严格的):
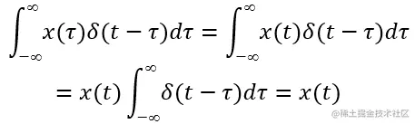
严格定义(利用性质定义):对任意在t=t_0点连续的函数f(t),单位冲激函数定义为:
表示:用箭头表示,并标注强度(即积分值):
应用:1)采样系统的建模;2)对奇异信号求导的时候,间断点的导数可以表示了:
性质:
关于性质的讨论:
(1)123对比:只有积分能化简成某点的函数,不然只能是带δ的表达式
(2)利用3有:
(3)6可以联想u的尺度变换,把积分理解为u,然后看斜率。
(4)
(5)
第二个积分积出来是e^-t在0的函数值,第一个不是一个数,区别类似于前面的性质1和3。
例题:
把被积函数中冲激函数部分去掉就是它在积分上下限之间化开的函数f,上下限之外的是0.把τ看成t,画图。
最后化成u(t),因为是对冲激的积分,肯定都能用u表示。
5 信号的数学函数
讨论如何列写信号的数学表达式,特别是分段线性函数的描述。利用奇异函数(特别是单位阶跃函数)的特性描述各种信号,是许多物理信号建模的重要手段。
方法一:切开每一个不同表达式的区间,用矩形把它抠出来,再考虑大小。这个大小可以考虑从过原点的简单 函数经过变换得到,或者直接写函数表达式也行。
方法二:考虑在各分段点需加减什么函数才能得到该段图形——在分段点考虑在原函数的作用基础上再加上新函数作用。即从左往右写。
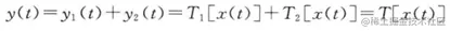
6 连续时间系统
系统:存在因果关系的整体
或用以下关系式描述:
T[·]表示信号变换关系。
加法器和乘法器:
系统并联:
系统串联(级联):
反馈系统:
误差:
系统输出:
7 连续时间系统的性质
(1)记忆特性
无记忆系统(静态系统、即时系统):系统在t_0时刻的输出y(t_0)只依赖于该时刻的输入,而与其他时刻的输入无关,则称为无记忆系统
如理想放大器:
如电阻:
记忆系统(动力学系统):otherwise
如积分放大器:
如电容:
(2)可逆性
可逆系统:输入和输出一一对应
不可逆系统:
恒等系统:输入=输出
系统的逆:系统T和系统T_1级联后的系统是恒等系统,则T_1是T的逆
(3)因果性
因果系统(不可预测系统):系统在t0时刻的输出只与t=t0和t <t0时刻的输入有关
如:y(t)=x(2t) 若 y(t)=0,t<t0,则有y(t)=x(2t)=0,t< 2t0,(0,t0)的y预测了(0, 2t0)的x。因此为非因果系统。
(4)稳定性
BIBO稳定:对有界的输入,系统的零状态响应也是有界的,则称系统是有界输入有界输出稳定(Bounded-input bounded-output, BIBO)。
(5)时不变性
时不变系统:输入延迟了一段时间,输出也延迟相同的时间
时间延后了但形状不变:上面是正常的y,下面是x被时延后的y(天生平移过),把上面的y人工平移后和下面的一样。
时变系统:
因为
yd表示只有x被延误后产生的输出。二者不相等,所以是时变的。
设中间函数g(t)=x(t-t_0)比较清楚。例2的第一个式子,看作y只对g里的t有影响,下面的式子看作y=x(at)中对t做延迟,相当于已经知道y和t的关系是什么了。
经验:若x(t)前出现变系数,或有反转、展缩变换,则系统为时变系统。
下面的系统是时变的,通过x延时改变y和直接把原来的y延时得到的结果是不一样的。
上面是时不变的,下面是时变的。
时变性和周期性的区别:
周期性是指人工平移后能否于原来的相同,时变性是指人工平移和x天生延迟是不是一样。
(6)线性
同时满足下面两个判据,则为线性系统:
即:

参考文献
[1]Charles L.Phillips,John M.Parr,Eve A.Riskin(2014).信号、系统和变换(陈从颜等).北京:机械工业出版社(2015.1).