leetcode-最大二叉树

97 阅读1分钟

携手创作,共同成长!这是我参与「掘金日新计划 · 8 月更文挑战」的第21天,点击查看活动详情

题目描述

给定一个不重复的整数数组 nums 。 最大二叉树 可以用下面的算法从 nums 递归地构建:

创建一个根节点,其值为 nums 中的最大值。 递归地在最大值 左边 的 子数组前缀上 构建左子树。 递归地在最大值 右边 的 子数组后缀上 构建右子树。 返回 nums 构建的 最大二叉树 。

 

示例 1:

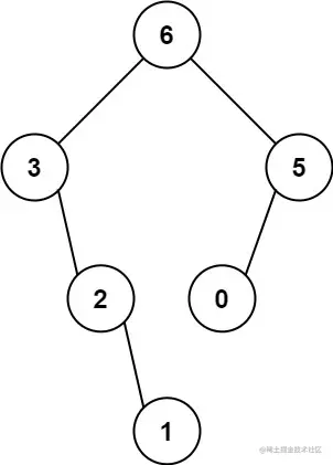
654示例1.jpg

输入:nums = [3,2,1,6,0,5]
输出:[6,3,5,null,2,0,null,null,1]
解释:递归调用如下所示:
- [3,2,1,6,0,5] 中的最大值是 6 ,左边部分是 [3,2,1] ,右边部分是 [0,5] 。
    - [3,2,1] 中的最大值是 3 ,左边部分是 [] ,右边部分是 [2,1] 。
        - 空数组,无子节点。
        - [2,1] 中的最大值是 2 ,左边部分是 [] ,右边部分是 [1] 。
            - 空数组,无子节点。
            - 只有一个元素,所以子节点是一个值为 1 的节点。
    - [0,5] 中的最大值是 5 ,左边部分是 [0] ,右边部分是 [] 。
        - 只有一个元素,所以子节点是一个值为 0 的节点。
        - 空数组,无子节点。

示例 2:

输入:nums = [3,2,1]
输出:[3,null,2,null,1]

提示:

  • 1 <= nums.length <= 1000
  • 0 <= nums[i] <= 1000
  • nums 中的所有整数 互不相同

思路

本题直接提示了递归,我们就递归做。对于一个数组,先找到其中的最大值和它的下标,把最大值建立为根节点,根据下标分成左右2个子数组,然后用子数组递归构建子最大二叉树,分别作为根节点的左右节点。

Java版本代码

class Solution {
    public TreeNode constructMaximumBinaryTree(int[] nums) {
        return constructMaximumBinaryTree(nums, 0, nums.length-1);
    }

    private TreeNode constructMaximumBinaryTree(int[] nums, int start, int end) {
        if (start > end) {
            return null;
        }
        int max = -1, maxIndex = -1;
        for (int i = start; i <= end; i++) {
            if (nums[i] > max) {
                maxIndex = i;
                max = nums[i];
            }
        }
        TreeNode node = new TreeNode(max);
        node.left = constructMaximumBinaryTree(nums, start, maxIndex - 1);
        node.right = constructMaximumBinaryTree(nums, maxIndex + 1, end);
        return node;
    }
}