刷题的日常-最大二叉树

88 阅读2分钟

携手创作,共同成长!这是我参与「掘金日新计划 · 8 月更文挑战」的第25天,点击查看活动详情

刷题的日常-2022年8月20日

一天一题,保持脑子清爽

最大二叉树

来自leetcode的 654 题,题意如下:

给定一个不重复的整数数组nums 。最大二叉树可以用下面的算法从nums 递归地构建:

  • 创建一个根节点,其值为nums 中的最大值。
  • 递归地在最大值左边的子数组前缀上构建左子树。
  • 递归地在最大值 右边 的子数组后缀上构建右子树。

返回nums 构建的 最大二叉树 。

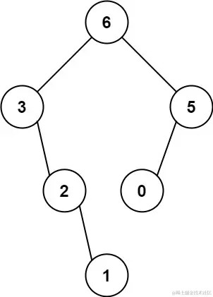
示例如下: image.png

输入:nums = [3,2,1,6,0,5]
输出:[6,3,5,null,2,0,null,null,1]
解释:递归调用如下所示:
- [3,2,1,6,0,5] 中的最大值是 6 ,左边部分是 [3,2,1] ,右边部分是 [0,5] 。
    - [3,2,1] 中的最大值是 3 ,左边部分是 [] ,右边部分是 [2,1] 。
        - 空数组,无子节点。
        - [2,1] 中的最大值是 2 ,左边部分是 [] ,右边部分是 [1] 。
            - 空数组,无子节点。
            - 只有一个元素,所以子节点是一个值为 1 的节点。
    - [0,5] 中的最大值是 5 ,左边部分是 [0] ,右边部分是 [] 。
        - 只有一个元素,所以子节点是一个值为 0 的节点。
        - 空数组,无子节点。

理解题意

我们可以从题意中提取的条件如下:

  • 给定一个数组,要求我们根据数组的内容构建二叉树
  • 对于一个元素,元素左边的节点应该在树节点的左边
  • 元素右边的元素应该在树的右边
  • 树以及子树的根节点应该是树中最大的
  • 返回根节点

做题思路

我们其实可以根据题目直接模拟过程就行,递归地去构建整颗树:

  • 将节点构建出来
  • 判断当前节点和前一个节点的大小
    • 大于的情况
      • 大于的情况下直接将当前节点作为根节点
      • 右边的节点递归调用进行构建
      • 返回右边和当前节点中最大的一个
    • 小于的情况
      • 我们需要将当前节点插入之前的节点的右子树
      • 找到原节点右子树中第一个大于当前节点的值
      • 如果没有的话就直接放右节点
      • 递归构建剩下的节点
      • 返回剩下节点的最大值和前一个节点中的最大值

代码实现

代码实现如下:

public class Solution {
    public TreeNode constructMaximumBinaryTree(int... nums) {
        TreeNode pre = new TreeNode(nums[0]);
        TreeNode result = constructMaximumBinaryTree(pre, 1, nums);
        return result.val > pre.val ? result : pre;
    }
    private TreeNode constructMaximumBinaryTree(TreeNode pre, int idx, int[] nums) {
        if (idx >= nums.length) {
            return pre;
        }
        TreeNode result = new TreeNode(nums[idx++]);
        if (result.val > pre.val) {
            result.left = pre;
            TreeNode node = constructMaximumBinaryTree(result, idx, nums);
            return node.val > result.val ? node : result;
        }
        TreeNode tmp = pre;
        while (tmp.right != null && tmp.right.val > result.val) {
            tmp = tmp.right;
        }
        result.left = tmp.right;
        tmp.right = result;
        TreeNode node = constructMaximumBinaryTree(pre, idx, nums);
        return node.val > pre.val ? node : pre;
    }
}

image.png