☆打卡算法☆LeetCode 206. 反转链表 算法解析

133 阅读2分钟

携手创作,共同成长!这是我参与「掘金日新计划 · 8 月更文挑战」的第25天,点击查看活动详情

推荐阅读

大家好,我是小魔龙,Unity3D软件工程师,VR、AR,虚拟仿真方向,不定时更新软件开发技巧,生活感悟,觉得有用记得一键三连哦。

一、题目

1、算法题目

“给定单链表的头结点,返回反转后的链表。”

题目链接:

来源:力扣(LeetCode)

链接: 206. 反转链表 - 力扣(LeetCode)

2、题目描述

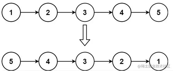
给你单链表的头节点 head ,请你反转链表,并返回反转后的链表。

image.png

示例 1:
输入: head = [1,2,3,4,5]
输出: [5,4,3,2,1]
示例 2:
输入: head = [1,2]
输出: [2,1]

二、解题

1、思路分析

题意要反转链表,返回反转后的链表。

只需要遍历整个链表,然后将当前节点改为指向前一个节点,遍历操作结束就完成了反转。

其中有一个问题,由于节点没有引用前一个节点,需要先存储前一个节点。

在更改引用之前,还需要存储后一个节点,最后才返回新的链表。

2、代码实现

代码参考:

class Solution {
    public ListNode reverseList(ListNode head) {
        ListNode prev = null;
        ListNode curr = head;
        while (curr != null) {
            ListNode next = curr.next;
            curr.next = prev;
            prev = curr;
            curr = next;
        }
        return prev;
    }
}

image.png

3、时间复杂度

时间复杂度:O(n)

其中n是链表的长度,需要遍历链表一次。

空间复杂度:O(1)

只需要常数级的变量空间。

三、总结

1、定义两个指针: prepre 和 curcur ;prepre 在前 curcur 在后。 2、每次让 prepre 的 nextnext 指向 curcur ,实现一次局部反转 3、局部反转完成之后,prepre 和 curcur 同时往前移动一个位置 4、循环上述过程,直至 prepre 到达链表尾部