输出二叉树· 8 月更文挑战第25天

75 阅读2分钟

携手创作,共同成长!这是我参与「掘金日新计划 · 8 月更文挑战」的第25天,点击查看活动详情

一、题目描述:

给你一棵二叉树的根节点 root ,请你构造一个下标从 0 开始、大小为 m x n 的字符串矩阵 res ,用以表示树的 格式化布局 。构造此格式化布局矩阵需要遵循以下规则:

树的 高度 为 height ,矩阵的行数 m 应该等于 height + 1 。 矩阵的列数 n 应该等于 2height+1 - 1 。 根节点 需要放置在 顶行 的 正中间 ,对应位置为 res0 。 对于放置在矩阵中的每个节点,设对应位置为 resr ,将其左子节点放置在 resr+1 ,右子节点放置在 resr+1 。 继续这一过程,直到树中的所有节点都妥善放置。 任意空单元格都应该包含空字符串 "" 。 返回构造得到的矩阵 res 。

示例 1:

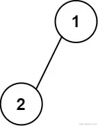
img

输入:root = [1,2] 输出: [["","1",""], ["2","",""]] 示例 2:

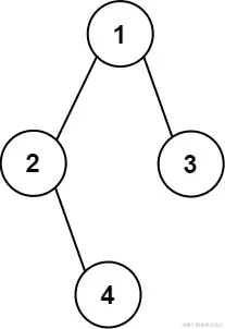
img

输入:root = [1,2,3,null,4] 输出: [["","","","1","","",""], ["","2","","","","3",""], ["","","4","","","",""]]

提示:

树中节点数在范围 [1, 210] 内 -99 <= Node.val <= 99 树的深度在范围 [1, 10] 内

来源:力扣(LeetCode) 链接:leetcode.cn/problems/pr… 著作权归领扣网络所有。商业转载请联系官方授权,非商业转载请注明出处。

二、思路分析:

采用DFS+分治的思想,先通过DFS获取树的高度,确定好每一行里面有多少个元素:2^树高-1; 再采用分治的思想去确定每一行应该输出在哪个位置,根节点输出在mid=(low+high)/2处,左孩子输出在[low,mid-1]的中间,右孩子输出在[mid+1,high]的中间,其中low初始为0,high初始为每一行元素的个数-1(因为在数组中对应索引为最大元素个数-1); 直至全部元素输出完成;

三、AC 代码:

public class Solution {
    public List<List<String>> printTree(TreeNode root) {
        int height = getHeight(root);
        String[][] res = new String[height][(1 << height) - 1];
        for(String[] arr:res)
            Arrays.fill(arr,"");
        List<List<String>> ans = new ArrayList<>();
        fill(res, root, 0, 0, res[0].length);
        for(String[] arr:res)
            ans.add(Arrays.asList(arr));
        return ans;
    }
    public void fill(String[][] res, TreeNode root, int i, int l, int r) {
        if (root == null)
            return;
        res[i][(l + r) / 2] = "" + root.val;
        fill(res, root.left, i + 1, l, (l + r) / 2);
        fill(res, root.right, i + 1, (l + r + 1) / 2, r);
    }
    public int getHeight(TreeNode root) {
        if (root == null)
            return 0;
        return 1 + Math.max(getHeight(root.left), getHeight(root.right));
    }
}
​

四、总结:

image.png

掘友们,解题不易,留下个赞或评论再走吧!谢啦~ 💐

希望对你有帮助

期待下次再见~

🌇 点赞 👍 收藏 ⭐留言 📝 一键三连 ~关注从你我做起!