图解二叉树的层平均值(递归 + 非递归)

277 阅读2分钟

携手创作,共同成长!这是我参与「掘金日新计划 · 8 月更文挑战」的第24天,点击查看活动详情


大家好呀,我是帅蛋。

今天解决二叉树的层平均值,是一道二叉树层次遍历的变形题目,难度不大,今天让我们一起来解决掉它!

637-0

LeetCode 637:二叉树的层平均值

题意

给定一个非空二叉树的根节点 root,以数组的形式返回每一层节点的平均值。

示例

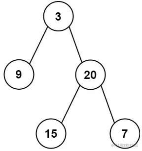
输入:root = [3,9,20,null,null,15,7] 输出:[3.00000,14.50000,11.00000]解释:第 0 层的平均值为 3,第 1 层的平均值为 14.5,第 2 层的平均值为 11。

637-1

提示

  • 树中节点数量在 [1,10^4] 范围内
  • -2^31 <= Node.val <= 2^31 - 1

题目解析

这道二叉树的层平均值,难度简单。

二叉树的层次遍历不太懂的可以看下面这篇文章:

ACM 选手带你玩转二叉树层次遍历(递归 + 非递归)

鉴于二叉树层次遍历相关题目难度忽简单忽中等,真的很迷,这道题定位难度简单,我也只能归于题目里带了一个“层”字。

大概心理活动就是:我都告诉解法就是层次遍历了,你还要我怎样?

637-8

那这道题的具体做法就是:遍历二叉树的每一层,记录该层的节点总值和节点数,然后求该层平均值加入 res 结果集中,直至遍历完整棵二叉树。

至于每层的遍历,我们使用队列这种数据结构。

队列是一种先进先出(First in First Out)的数据结构,简称 FIFO

如果不太了解队列的,可以看下面这篇文章:

ACM 选手带你玩转栈和队列

使用队列保存每一层的所有节点,把队列里的所有节点出队列,然后把这些出去节点各自的子节点入队列

图解

以 root = [3,9,20,null,null,15,7] 为例:

637-2

首先初始化队列和结果集,将根节点入队列。

637-3

res = []
queue = [root]

第 1 步:队列不为空,初始化存储当前层孩子节点的列表 chilldNodes、当前层节点和 sum。

# 存储当前层的孩子节点列表
childNodes = []
# 存储当前层的节点数
cnt = len(queue)
# 存储当前层节点和
sum = 0

此时 queue 中的节点个数 cnt = 1,对应的节点值为 3,所以当前层的节点和 sum = 3。

此时将第 1 层的层平均值为 3/1 = 3,将此值加入结果集 res。

637-4

# 求当前层节点和
for node in queue:
    sum += node.val
res.append(sum/cnt)

将队列中节点的左孩子和右孩子依次入队列 childNodes。

637-5

for node in queue:
    # 若节点存在左孩子,入队
    if node.left:
        childNodes.append(node.left)
    # 若节点存在右孩子,入队
    if node.right:
        childNodes.append(node.right)

将当前队列 queue 更新为 childNodes,继续进行下一层的遍历。

637-6

# 更新队列为下一层的节点,继续遍历
queue = childNodes

之后就是重复上面的操作,直至全部遍历完。

637-7

代码实现

Python 代码实现

# Definition for a binary tree node.
# class TreeNode:
#     def __init__(self, val=0, left=None, right=None):
#         self.val = val
#         self.left = left
#         self.right = right
​
class Solution:
    def averageOfLevels(self, root: Optional[TreeNode]) -> List[float]:
        if root == None:
            return []
​
        res = []
        queue = [root]
​
        while queue:
            # 存储当前层的孩子节点列表
            childNodes = []
            # 存储当前层的节点数
            cnt = len(queue)
            # 存储当前层节点和
            sum = 0
            # 求当前层节点和
            for node in queue:
                sum += node.val
            res.append(sum/cnt)
​
            for node in queue:
                # 若节点存在左孩子,入队
                if node.left:
                    childNodes.append(node.left)
                # 若节点存在右孩子,入队
                if node.right:
                    childNodes.append(node.right)
            # 更新队列为下一层的节点,继续遍历
            queue = childNodes
​
        return res

Java 代码实现

/**
 * Definition for a binary tree node.
 * public class TreeNode {
 *     int val;
 *     TreeNode left;
 *     TreeNode right;
 *     TreeNode() {}
 *     TreeNode(int val) { this.val = val; }
 *     TreeNode(int val, TreeNode left, TreeNode right) {
 *         this.val = val;
 *         this.left = left;
 *         this.right = right;
 *     }
 * }
 */
class Solution {
    public List<Double> averageOfLevels(TreeNode root) {
        List<Double> res = new ArrayList<Double>();
        if (root == null) {
            return res;
        }
        Queue<TreeNode> queue = new LinkedList<TreeNode>();
        queue.offer(root);
        while (!queue.isEmpty()) {
            // 存储当前层节点和
            double sum = 0;
            // 存储当前层的节点数
            int cnt = queue.size();
            for (int i = 0; i < cnt; i++) {
                TreeNode node = queue.poll();
                // 求当前层节点和
                sum += node.val;
                // 若节点存在左孩子,入队
                if (node.left != null) {
                    queue.offer(node.left);
                }
                // 若节点存在右孩子,入队
                if (node.right != null) {
                    queue.offer(node.right);
                }
            }
            res.add(sum / cnt);
        }
        return res;
    }
}

本题解,对于每个节点,各进出队列一次,所以时间复杂度为 O(n)

此外,额外维护了一个队列和保存当前层孩子节点的列表,所以空间复杂度为 O(n)


图解二叉树的层平均值到这就结束辣,我现在真的是太爱层次遍历了,真好用!

快把爱他打在公屏上!

637-9

今天就到这辣,我是帅蛋,我们下次见~