Super easy to understand decision trees (part one)

167 阅读6分钟

携手创作,共同成长!这是我参与「掘金日新计划 · 8 月更文挑战」的第6天,点击查看活动详情 >>

The preface

How Long so see gays,okey i don't know what will be happen if i wriiten this papay by English but i want to try,hey~. welcome to my channel for reading something about machine learnning. Today i will talk something about decision tree. In this blog we have two target!

  1. What about decision tree and how it work.What's the math involved?
  2. How to write a decision tree algorithm by Python

But in this blog i will just make a simple Decision Tree mode,so this is why i need add an explanation in blog title.

Okey ,let's go!

What can it do

First decision trees can do a lot of things, such as the classification of the classic problems, as well as the continuous prediction problem, and most importantly, the implementation of a decision tree algorithm, only need to know about the most basic information entropy principle can write a decision tree algorithm, and this is also why I choose this algorithm first, Because it's the simplest and easiest to understand for us just like linear regression.

such as i give you a table which has some data in and then i will give you some new data without in that table hoping you can forcast the result. 在这里插入图片描述

how it work

Before we how it.we should to know "In the past many years, machine learning has been divided into many schools, among which machine learning theory based on statistical mathematics is widely used in today', and decision tree is definitely a very classical representative algorithm." so it working principle just like you play many games to guess what will be happend next time in you game,for that you should to play enough times to find some rules and this is the core in today's algorithm.You use a great deal of experience in playing games to determine what your current state is in order to make a decision.

But the machine can't thinking like us, it means we must input accurate data and define a funcation when it running and then we can get some return.So for fishing these wrok we need use mathematical statistics.

The data format

This is very important for us to lean a new machine algorithm,because it involve what we will do in our algorithm. So let's take a closer look at the picture above, although you might see at a glance what it means

在这里插入图片描述

When you want to find some rules,i think you must will be find by feature,and then forcast your result by feature value.So the most imporant is that what feature can easy to show some relation in these data and how use these feature to help us make forcast. The decision tree is great idea,such as this:

在这里插入图片描述

Okey,now we know we can use decision to help us to find some relationship(you can also use neural networks),but how to determine the location relationship of decision trees as features, the execution process becomes another problem we need to solve.

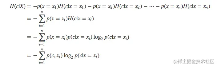
Information entropy and GINI coefficient

Entropy is an important concept in statistics. It is used to select features and measure the uncertainty of results. The smaller the information entropy, the more uniform the results. And our goal is really to try to find a relationship that will allow us to get closer to some kind of unity in our classification, in our prediction.Therefore, we can use entropy as a basis for determining the shape of the decision tree.

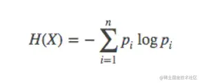
Information entropy

在这里插入图片描述

Conditional entropy:

When a feature is fixed, the uncertainty of the result is the conditional entropy:

在这里插入图片描述

With this, when selecting nodes in the decision tree, we can calculate the conditional entropy of each feature on the resulting value and choose the smallest one.

Information gain

在这里插入图片描述 The original entropy - conditional entropy is the stability gain of the system brought by this determined variable

Information gain ratio

A big problem of information gain is that the attributes with more branches are preferred to be overfitting, and the information gain is punished by fitting more values than the formula (pruning is necessary anyway).

在这里插入图片描述

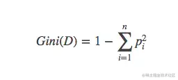
The Gini coefficient

In CART, Gini coefficient is used to construct binary decision tree. In binary classification problem, it is approximately half of entropy, but the calculation is simpler: 在这里插入图片描述 And similar Gini gain and gain rate are similar to the entropy above

Code the decision tree algorithm

Well, with some basic principles in mind, it's time to start our coding work

Algorithm process

To write our algorithm, we need to determine the specific algorithm process, which is roughly as follows:

1. Calculate the entropy of the original result 2. The entropy/GINi gain ratio of each feature to the result is calculated, and the node with the largest gain ratio is selected as the current node 3. Determine the branch of the current node, the calculated value of the current as the characteristic of node, as a kind of situation (in the performance of the decision tree as the branches of the tree) to calculate the corresponding conditional entropy (can determine whether the entropy between 0, if zero current branch no longer generate a new node, instead need to access the new node) behind 4. Call recursively until the build is complete

Don't worry, we'll do it in code:

 def BulidTree(self,dataSet:list, labels:list)->dict:
        resClass = [sample[-1] for sample in dataSet]
        if (resClass.count(resClass[0]) == len(resClass)):
            return resClass[0]
        if (len(dataSet[0]) == 1):
            return self.__majorityCnt(resClass)
        bestFeature, index = self.__chooseBestFeatureToSplit(dataSet, labels)
        myTree = {bestFeature: {}}
        del labels[index]
        # divide branch
        featValus = set(sample[index] for sample in dataSet)
        for value in featValus:
            sublabels = labels[:]
            myTree[bestFeature][value] = self.BulidTree(self.splitDataSet(dataSet, index, value), sublabels)
        return myTree

(We can tell if entropy is 0 by seeing if all the values in the result set are the same)

The representation of a tree

Okey,the next problem is how to representation a tree in machine?Now will code by python.So the easiest thing to think of is to use Python's dictionary data structure.

such as: 在这里插入图片描述

Select the node

this code include how to caculate gini or entropy.

    def __chooseBestFeatureToSplit(self,dataSet:list, index_labels:list)->(object,int):
        numFeatures = len(dataSet[0]) - 1
        baseEntorpy = self.__computeEntropy(dataSet)
        bestInfoGainlv = 0
        index = 0
        for i in range(numFeatures):
            featList = [feat[i] for feat in dataSet]
            uniquvalues = set(featList)
            newEntorpy = 0
            for value in uniquvalues:
                subDataSet = self.splitDataSet(dataSet, i, value)
                prob = len(subDataSet) / (len(dataSet))
                newEntorpy += prob * self.__computeEntropy(dataSet=subDataSet)
            current_featEntropy = self.__computeEntropy_indexLabels(dataSet,i)
            infoGainlv = (baseEntorpy - newEntorpy)/(current_featEntropy+1)

  def __computeEntropy(self,dataSet:list)->float:
        num = len(dataSet)
        resultCounts = {}
        for data in dataSet:
            if (resultCounts.get(data[-1])):
                resultCounts[data[-1]] += 1
            else:
                resultCounts[data[-1]] = 1
        Entropy = 0.
        if(self.mode=='gini'):
            Entropy=1.0
        for value in resultCounts.values():
            prob = (value / num)
            if (self.mode == "gini"):
                Entropy -= (prob * prob)
            else:
                Entropy -= prob * (math.log2(prob))
        return Entropy
   def __computeEntropy_indexLabels(self,dataSet:list,index:int)->float:
        num = len(dataSet)
        labelsCounts = {}
        for data in dataSet:
            if(labelsCounts.get(data[index])):
                labelsCounts[data[index]]+=1
            else:
                labelsCounts[data[index]] =1
        Entropy = 0.
        if(self.mode=='gini'):
            Entropy=1.0
        for value in labelsCounts.values():
            prob = value/num
            if(self.mode=="gini"):
                Entropy-=(prob*prob)
            else:
                Entropy-=prob*(math.log2(prob))
        return Entropy

It should be noted that we need to calculate two kinds of entropy /gini here, one is the feature on the result, and the other is the feature itself, in addition, the index_labels here is actually the feature names

To predict

This is pretty simple, just make a prediction, we just have to parse the structure of the tree

    def forcast(self,Tree:dict,data:list):
        node = list(Tree.keys())[0]
        return self.__forcast_self(Tree,data,node)
    def __forcast_self(self,Tree:dict,data:list,node=None):

        if(not isinstance(Tree,dict)):
            return Tree

        index = self.index_labels.index(node)
        key = data[index]
        Tree_values = Tree.get(node).get(key)
        if(isinstance(Tree_values,dict)):
            return self.forcast(Tree_values,data)
        else:
            return Tree_values

The complete code

Here is our complete code, where we also have some methods for validation

import copy
import math
class TreeMode(object):
    def __init__(self,dataSet,index_labels,mode="entropy"):
        """
        suport tow mode entropy and gini
        :param mode:
        """
        self.dataSet = dataSet
        self.index_labels = copy.deepcopy(index_labels)
        self.mode = mode


    def __majorityCnt(self,resClass:list):
        # find majorityCnt number
        count = {}
        max_maj = 0
        majority = None
        for key in resClass:
            if (count.get(key)):
                count[key] += 1
            else:
                count[key] = 1
            if (count[key] > max_maj):
                max_maj = count[key]
                majority = key
        return majority

    def __computeEntropy_indexLabels(self,dataSet:list,index:int)->float:
        num = len(dataSet)
        labelsCounts = {}
        for data in dataSet:
            if(labelsCounts.get(data[index])):
                labelsCounts[data[index]]+=1
            else:
                labelsCounts[data[index]] =1
        Entropy = 0.
        if(self.mode=='gini'):
            Entropy=1.0
        for value in labelsCounts.values():
            prob = value/num
            if(self.mode=="gini"):
                Entropy-=(prob*prob)
            else:
                Entropy-=prob*(math.log2(prob))
        return Entropy

    def __computeEntropy(self,dataSet:list)->float:
        num = len(dataSet)
        resultCounts = {}
        for data in dataSet:
            if (resultCounts.get(data[-1])):
                resultCounts[data[-1]] += 1
            else:
                resultCounts[data[-1]] = 1
        Entropy = 0.
        if(self.mode=='gini'):
            Entropy=1.0
        for value in resultCounts.values():
            prob = (value / num)
            if (self.mode == "gini"):
                Entropy -= (prob * prob)
            else:
                Entropy -= prob * (math.log2(prob))
        return Entropy

    def splitDataSet(self,dataSet:list, index:int, value:object)->list:
        resDataSet = []
        for data in dataSet:
            if (data[index] == value):
                reduceData = data[:index]
                reduceData.extend(data[index + 1:])
                resDataSet.append(reduceData)
        return resDataSet

    def __chooseBestFeatureToSplit(self,dataSet:list, index_labels:list)->(object,int):
        numFeatures = len(dataSet[0]) - 1
        baseEntorpy = self.__computeEntropy(dataSet)
        bestInfoGainlv = 0
        index = 0
        for i in range(numFeatures):
            featList = [feat[i] for feat in dataSet]
            uniquvalues = set(featList)
            newEntorpy = 0
            for value in uniquvalues:
                subDataSet = self.splitDataSet(dataSet, i, value)
                prob = len(subDataSet) / (len(dataSet))
                newEntorpy += prob * self.__computeEntropy(dataSet=subDataSet)
            current_featEntropy = self.__computeEntropy_indexLabels(dataSet,i)
            infoGainlv = (baseEntorpy - newEntorpy)/(current_featEntropy+1)

            if (infoGainlv > bestInfoGainlv):
                bestInfoGainlv = infoGainlv
                index = i
        return index_labels[index], index

    def BulidTree(self,dataSet:list, labels:list)->dict:
        resClass = [sample[-1] for sample in dataSet]
        if (resClass.count(resClass[0]) == len(resClass)):
            return resClass[0]
        if (len(dataSet[0]) == 1):
            return self.__majorityCnt(resClass)
        bestFeature, index = self.__chooseBestFeatureToSplit(dataSet, labels)
        myTree = {bestFeature: {}}
        del labels[index]
        # divide branch
        featValus = set(sample[index] for sample in dataSet)
        for value in featValus:
            sublabels = labels[:]
            myTree[bestFeature][value] = self.BulidTree(self.splitDataSet(dataSet, index, value), sublabels)
        return myTree
    def forcast(self,Tree:dict,data:list):
        node = list(Tree.keys())[0]
        return self.__forcast_self(Tree,data,node)
    def __forcast_self(self,Tree:dict,data:list,node=None):

        if(not isinstance(Tree,dict)):
            return Tree

        index = self.index_labels.index(node)
        key = data[index]
        Tree_values = Tree.get(node).get(key)
        if(isinstance(Tree_values,dict)):
            return self.forcast(Tree_values,data)
        else:
            return Tree_values

    def evaluate_predication(self,Tree,eval_data:list):
        count_right = 0
        num = len(eval_data)
        for data in eval_data:
            data_ = data[:len(data)-1]
            pred = self.forcast(Tree,data_)
            if(pred==data[-1]):
                count_right+=1
        return count_right/num



if __name__ == '__main__':
    def createDataSet():
        dataSet = [[0, 0, 0, 0, 'no'],
                   [0, 0, 0, 1, 'no'],
                   [0, 1, 0, 1, 'yes'],
                   [0, 0, 0, 0, 'no'],
                   [1, 0, 0, 0, 'no'],
                   [1, 0, 0, 1, 'no'],
                   [1, 1, 1, 1, 'yes'],
                   [1, 0, 1, 2, 'yes'],
                   [2, 0, 1, 1, 'yes'],
                   [2, 1, 0, 1, 'yes'],
                   [2, 0, 0, 0, 'no']
                   ]
        labels = ["A", "B", "C", "D"]
        return dataSet, labels

    dataSetTrain, labels = createDataSet()
    mode = TreeMode(dataSet=dataSetTrain,index_labels=labels,mode='gini')
    Tree = mode.BulidTree(dataSetTrain,labels)
    print("\n","the tree mode is:",Tree)
    """
    Here I lazy to construct new data. I directly use the training data set as the verification test set.
    """
    accuracy = mode.evaluate_predication(Tree,eval_data=dataSetTrain)
    print("\n","the accuracy is:",accuracy)
    pred = mode.forcast(Tree,[2, 0, 0, 1])
    print("\n","the predication is:",pred)

summary

The case of this blog is actually a very simple, the coding examples or more classification problem, actually our decision tree can also solve the problem of regression, then this is the place where we need to increase the next, and finally on machine learning fitting led to the decrease of the generalization ability of the problem, we need to involve to tree pruning operation and so on.

Finally, this is the first time for me to write such a long blog in English.