算法理论:信号与系统1

228 阅读3分钟

本文已参与「新人创作礼」活动,一起开启掘金创作之路。

1 建模

1.1 信号的分类

(1)确定信号与随机信号

确定信号:可以用一个确定的时间函数加以确定

不确定信号:不可以用一个确定的时间函数加以确定,只能用统计特性描述

(2)连续信号与离散信号

“连续”指函数定义域——时间是连续的,但可含有限个间断点, 值域可连续(模拟信号)也可不连续。

离散时间信号:仅在一些离散的瞬间才有定义的信号。相邻离散点时间间隔可以相等或不等,通常取等间隔T。

离散信号可表示为f(nT),简写为f(n),这种等间隔的离散信号也称为序列,其中n称为序号。

通常将对应某序号m的序列值称为第m样点的样值。

(3)周期信号与非周期信号

在这里插入图片描述

在这里插入图片描述

(4)能量信号与功率信号

能量信号:总能量有限的信号(平均功率为零)

功率信号:能量无限但平均功率有限且非零的信号

在这里插入图片描述

注意区间是正负T,可能用到奇偶性

(5)一维信号与多维信号

(6)因果信号与非因果信号

因果信号:在t=0时接入的信号f(t)(即在t<0,f(t)=0) 如阶跃信号

反因果信号: t>=0时,f(t)=0。

(7)其他分类

实信号与复信号;左边信号与右边信号等。

1.2 系统的分类

(1)按信号的连续和离散分

连续时间系统:系统中所有信号都是连续的

离散时间系统:系统中所有信号都是离散的

混和系统(采样数据系统):同时含有两种信号

(2)按输入输出的因果性分

因果系统:系统的输出信号仅仅与输入信号的现在时刻或过去时刻有关,仅当输入信号激励系统时,才会出现输出(响应)。

非因果系统:otherwise

2 连续时间系统

半波整流信号:由正弦信号产生

在这里插入图片描述

全波整流信号:周期减半

在这里插入图片描述

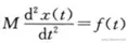
相似系统:有着相同数学模型的真实系统,如:

刚体运动模型

在这里插入图片描述

与电路回路方程

在这里插入图片描述

齐次性和叠加性:

在这里插入图片描述

满足齐次性和叠加性的称为线性系统。

3 采样器和离散时间系统

数字积分:

欧拉规则:每H秒对信号x(t)采样依此,所得序列x(nH)用来进行数字积分(求矩形面积和):

在这里插入图片描述

在这里插入图片描述

则有递推公式

在这里插入图片描述

如果忽略近似因素,直接用等式表达为:

在这里插入图片描述

这是一阶常系数线性差分方程。一般而言,作为时间度量时,步长H可以省略,写作

在这里插入图片描述

离散时间系统可以用差分方程描述。

4 参考文献

[1]Charles L.Phillips,John M.Parr,Eve A.Riskin(2014).信号、系统和变换(陈从颜等).北京:机械工业出版社(2015.1).