【我的力扣战纪】二叉树-101-对称二叉树

197 阅读1分钟

携手创作,共同成长!这是我参与「掘金日新计划 · 8 月更文挑战」的第2天,点击查看活动详情

成熟不过是善于隐藏,沧桑不过是无泪有伤...

题目描述

原题链接:101-对称二叉树

给你一个二叉树的根节点 root , 检查它是否轴对称。

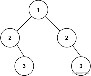
  • 测试用例一
    image.png

输入: root = [1,2,2,3,4,4,3]

输出: true

  • 测试用例二

image.png 输入: root = [1,2,2,null,3,null,3]

输出: false

提示:

  • 树中节点数目在范围 [1, 1000] 内
  • -100 <= Node.val <= 100

思路

  • 前端常见的树包括:DOM、树、级联选择、树形控件……。JavaScript中没有,但是可以通过ObjectArray构建,力扣里面的树每个节点只有两个下游节点
//建树
 class TreeNode {
     val: number
     left: TreeNode | null
     right: TreeNode | null
     constructor(val?: number, left?: TreeNode | null, right?: TreeNode | null) {
         this.val = (val===undefined ? 0 : val)
         this.left = (left===undefined ? null : left)
         this.right = (right===undefined ? null : right)
     }
 }
  • 判断二叉树是否对称,只需要比较子树的对称位置是否相同,也就是说,左子树的左侧对应右子树的右侧,左子树右侧对应右子树左侧
  • 迭代法就是用队列,将判断互为镜像的节点添加到队列中,然后做比较是否相等
  • 递归法是把两个树的左子树和右子树作为递归函数的入参,再判断树1的左子树和树2的右子树是否镜像,树1的右子树和树2的左子树是否镜像,当且仅当判断都成立并且根节点也相同,那么就是对称的

Code

/** 递归版 */
const isSymmetric1 = (root: TreeNode | null): boolean => root? dfs(root.left, root.right): true

//递归函数
const dfs = (l, r) => {
 if (!l && !r) {
   return true; //左右都为空=>对称
 }
 if (!l || !r) {
   return false; //左右只有一个为空不对称
 }
 if (l.val !== r.val) {
   return false;  //两个镜像节点val不同不对称
 }
 return dfs(l.left, r.right) && dfs(l.right, r.left);
};



/** 迭代版 */
const isSymmetric2 = (root: TreeNode | null): boolean => {
 if (!root) return true;
 const queue = [root.left, root.right]; // 将左、右子树头结点入队
 while (queue.length) {
   const u = queue.shift(); // 将左子树头结点出队
   const v = queue.shift(); // 将右子树头结点出队
   if (!u && !v) continue;
   if (!u || !v || u.val !== v.val) return false; // 左右只有一个为空,或者都不为空但数值不相同,不对称
   queue.push(u.left, v.right); //左树左节点和右树右节点入队
   queue.push(v.left, u.right); //右树左节点和左树右节点入队
 }
 return true;
};

复杂度分析

  • 时间复杂度:递归和迭代都是O(n) 每个节点遍历一次
  • 空间复杂度:递归和迭代都是O(n)

相关题目推荐

这两道题目基本和本题是一样的,只要稍加修改就可以AC。

  • 100.相同的树
  • 572.另一个树的子树