第4讲:线性方程组

282 阅读1分钟

第4讲:线性方程组


一、课堂例题

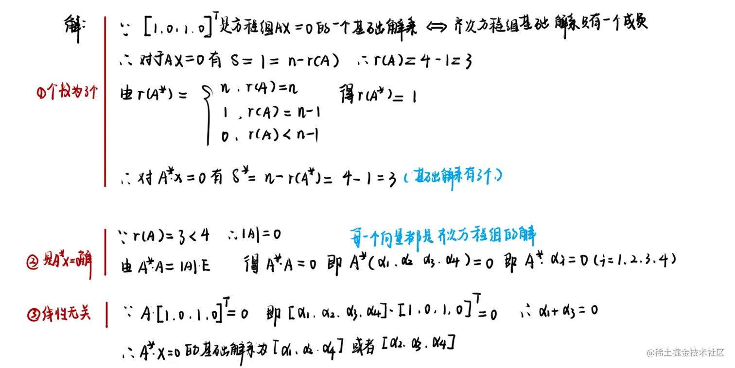
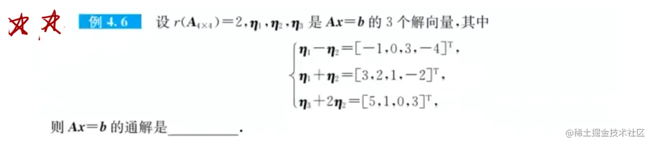
例4-6

image-20220818204321365.png

image-20220818204332075.png

例4-7

image-20220818204352034.png

例4-8

image-20220818204409985.png

image-20220818204419094.png

例4-9

image-20220818204439459.png

例4-10

image-20220818204459844.png

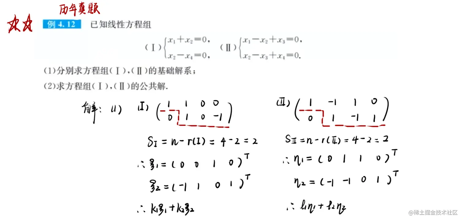
例4-12

image-20220818204556770.png

image-20220818204605058.png

例4-13

image-20220818204623608.png

image-20220818204634410.png

二、课后习题

习4-7

image-20220818204755434.png

image-20220818204804618.png