首页
沸点
课程
数据标注
HOT
AI Coding
更多
直播
活动
APP
插件
直播
活动
APP
插件
搜索历史
清空
创作者中心
写文章
发沸点
写笔记
写代码
草稿箱
创作灵感
查看更多
登录
注册
第3讲:n维向量
已注销
2022-08-18
86
阅读1分钟
第三讲:n维向量
一、课堂例题
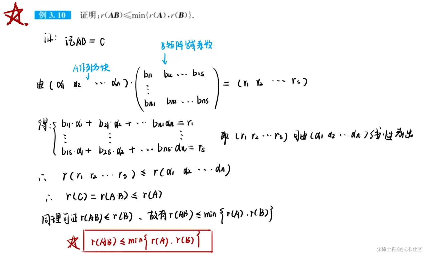
例3-10
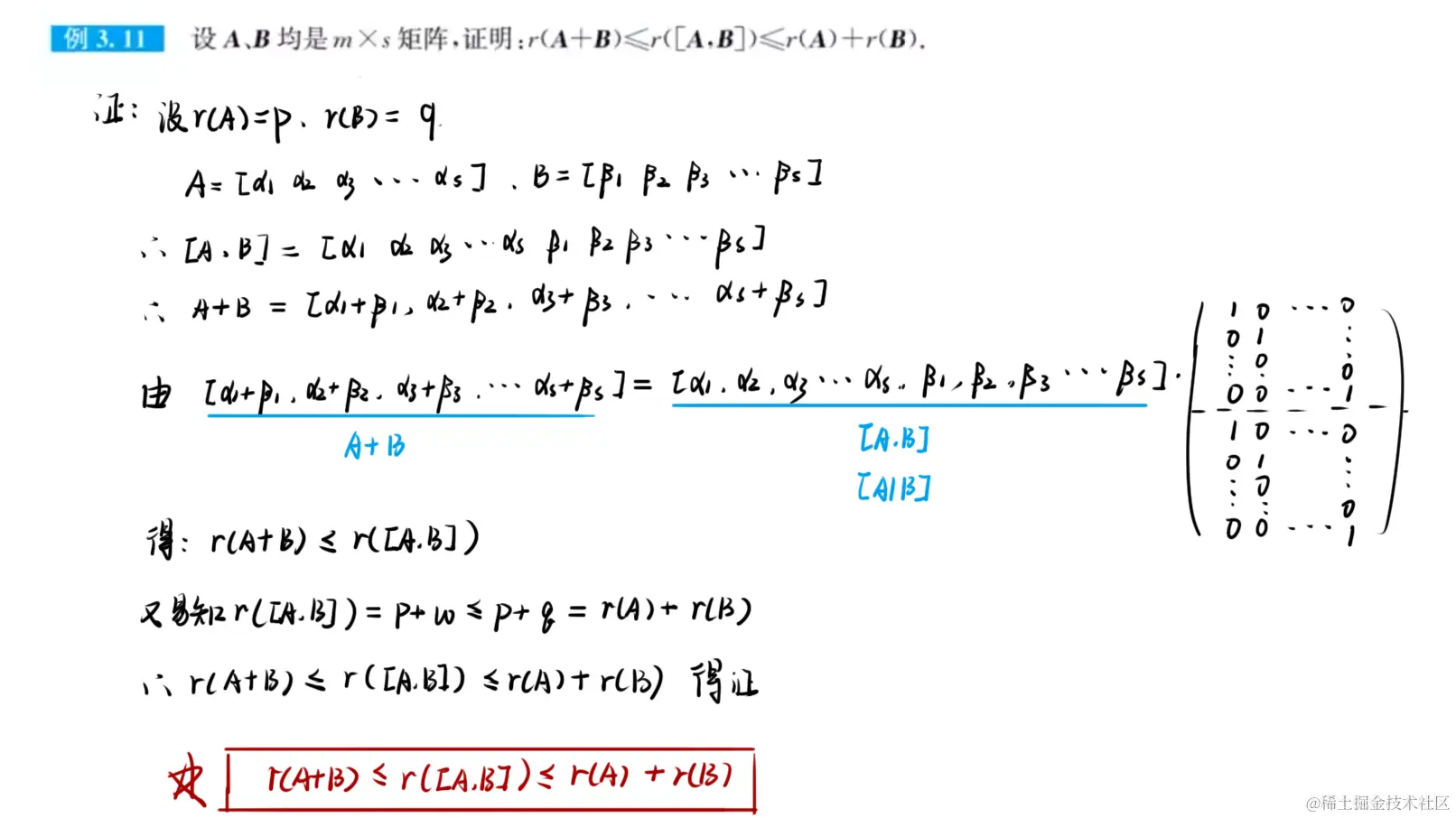
例3-11
例3-12
二、课后习题
已注销
0
文章
0
阅读
0
粉丝
目录
收起
第三讲:n维向量
一、课堂例题
例3-10
例3-11
例3-12
二、课后习题