Chapter1入门练习

98 阅读1分钟

Chapter1入门练习


一、填空题

T1

image-20220818162338631.png

image-20220818162420696.png

image-20220818162442081.png

T2

image-20220818162550608.png

T3

image-20220818162608077.png

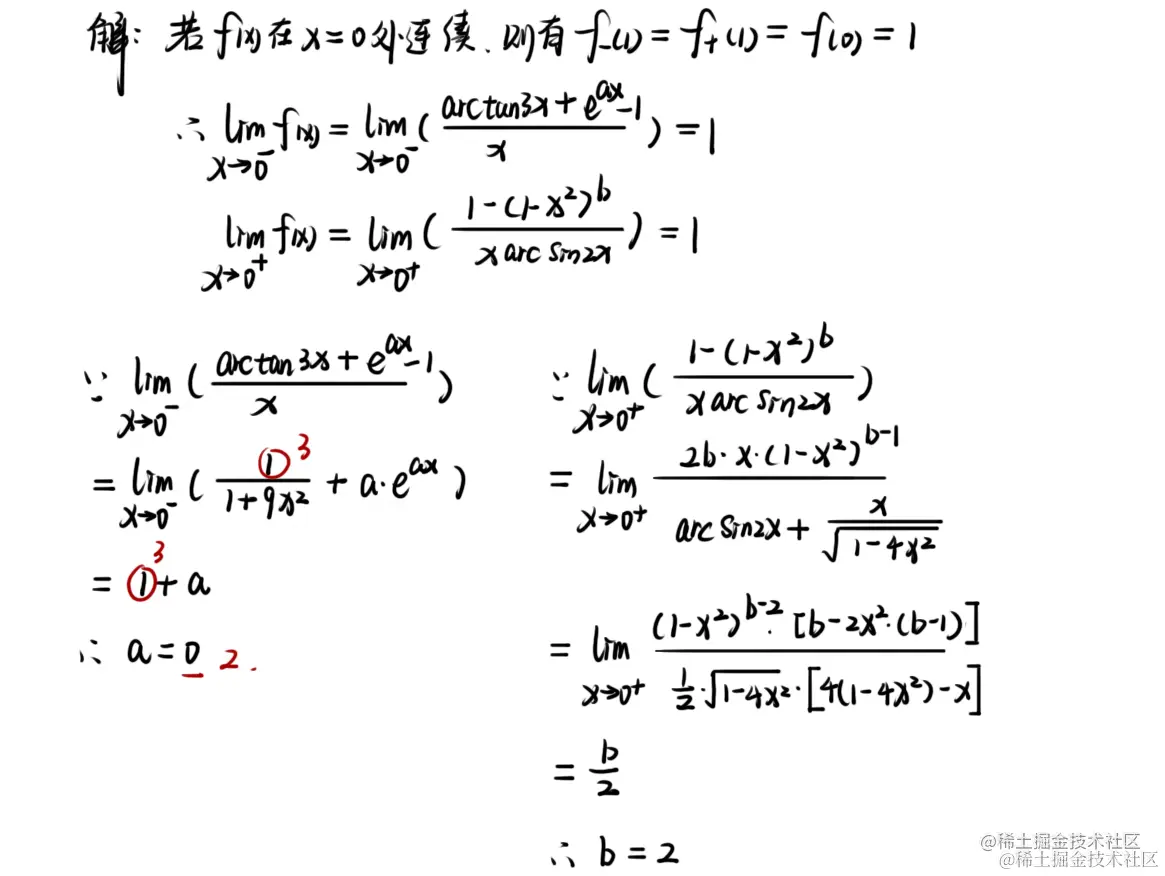
T4

image-20220818162622235.png

image-20220818162635617.png

T5

image-20220818162653052.png

T6

image-20220818162703430.png

T7

image-20220818162712323.png

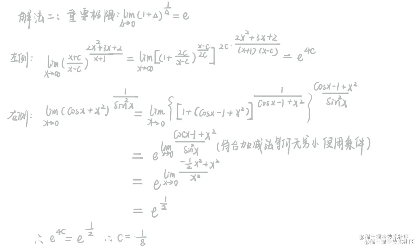
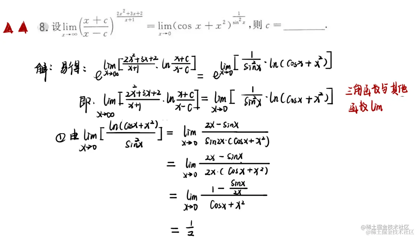
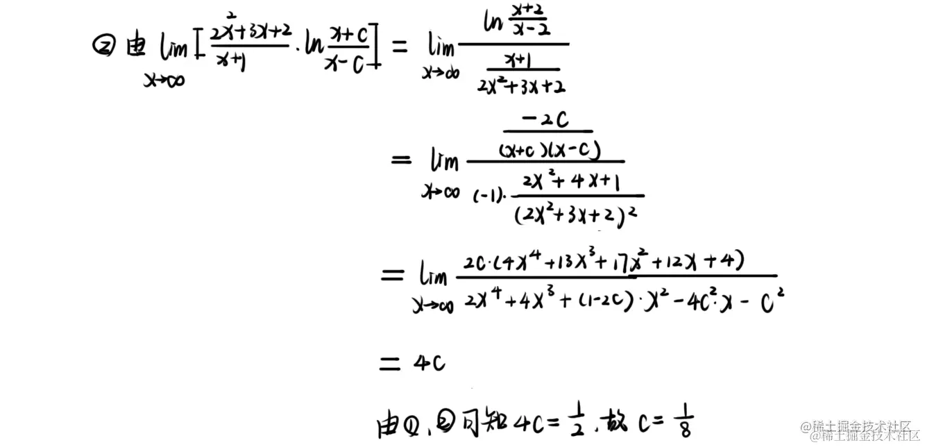
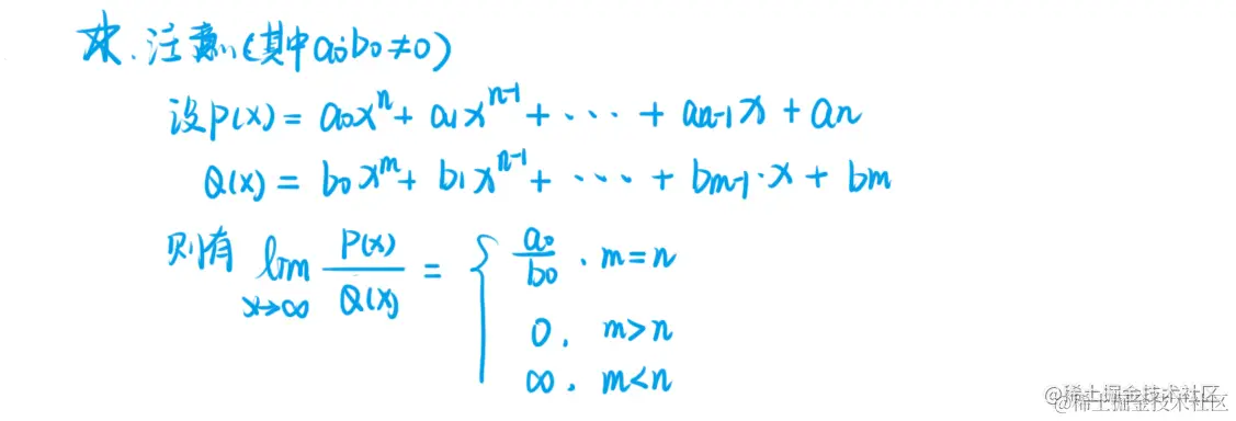
T8

image-20220818162724781.png

image-20220818162736647.png

image-20220818162747349.png

T9

image-20220818162801363.png

image-20220818162814956.png

image-20220818162828112.png

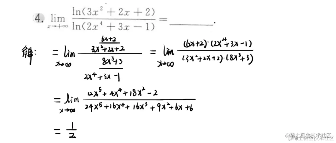
T10

image-20220818162841592.png

二、选择题

三、解答题

\