图解二叉树的层序遍历Ⅱ(递归 + 非递归)

244 阅读4分钟

携手创作,共同成长!这是我参与「掘金日新计划 · 8 月更文挑战」的第22天,点击查看活动详情


大家好呀,我是帅蛋。

今天解决二叉树的层序遍历Ⅱ,我们通过这道题继续来练习层序遍历。

我之前说过,二叉树的层序遍历历来是面试的高频问题,而且通过前面二叉树的题目我们也可以发现”层序遍历真的能解决大部分常见的二叉树题目“。

一定要好好重视,下面我们来直接开整!

107-0

LeetCode 107:二叉树的层序遍历Ⅱ

题意

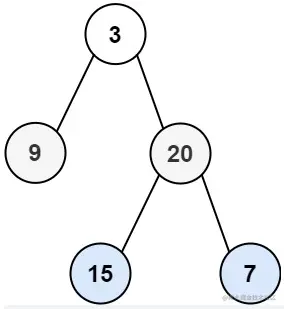
给你二叉树的根节点 root,返回其节点值自底向上的层序遍历。

即按从叶子节点所在层到根节点所在的层,逐层从左向右遍历。

示例

输入:root = [3,9,20,null,null,15,7] 输出:[[15,7],[9,20],[3]]

107-1

提示

  • 树中节点数目在范围 [0,2000] 内
  • -1000 <= Node.val <= 1000

题目解析

二叉树的层序遍历,我们先来理解它的涵义。

层次遍历就是表面意思,一层层的遍历,同一层的遍历按照从左到右逐个遍历。

107-2

像上面这个二叉树,它的层次遍历顺序为:ABCDEFGHIJ。

这是正常的层序遍历,而二叉树的层序遍历Ⅱ这道题要求从下往上遍历,这个怎么整呢?

很简单,按照正常层序遍历,完事以后,再把结果逆序输出。

107-3

递归法

递归法,那还是按照往常,祭出递归二步曲:

(1) 找出重复的子问题。

层次遍历是每一层的节点从左到右的遍历,所以在遍历的时候我们可以先遍历左子树,再遍历右子树

107-4

可能换成下面这样更清楚点:

107-5

遍历的顺序是:3 -> 9 -> 3 -> 20 -> 15 -> 20 -> 7。

需要注意的是,在遍历左子树或者右子树的时候,涉及到向上或者向下遍历,为了让递归的过程中的同一层的节点放在同一个列表中,在递归时要记录深度 depth

同时,每次遍历到一个新的 depth,结果数组中没有对应的 depth 的列表时,在结果数组中创建一个新的列表保存该 depth 的节点

# 若当前行对应的列表不存在,加一个空列表
if len(res) < depth:
    res.append([])

(2) 确定终止条件。

对于二叉树的遍历来说,想终止,即没东西遍历了,没东西遍历自然就停下来了。

即最下面一层的左右节点都为空了。

if root == None:
    return []

最后记得输出结果逆序一下,代码就出来啦!

Python 代码实现

# Definition for a binary tree node.
# class TreeNode:
#     def __init__(self, val=0, left=None, right=None):
#         self.val = val
#         self.left = left
#         self.right = right
class Solution:
    def level(self, root: TreeNode, depth, res):
        if root == None:
            return []
​
        # 若当前行对应的列表不存在,加一个空列表
        if len(res) < depth:
            res.append([])
​
        # 将当前节点的值加入当前行的 res 中
        res[depth - 1].append(root.val)
​
        # 递归处理左子树
        if root.left:
            self.level(root.left, depth + 1, res)
        # 递归处理右子树
        if root.right:
            self.level(root.right, depth + 1, res)
​
    def levelOrderBottom(self, root: TreeNode) -> List[List[int]]:
        res = []
        self.level(root, 1, res)
        return res[::-1]

Java 代码实现

/**
 * Definition for a binary tree node.
 * public class TreeNode {
 *     int val;
 *     TreeNode left;
 *     TreeNode right;
 *     TreeNode() {}
 *     TreeNode(int val) { this.val = val; }
 *     TreeNode(int val, TreeNode left, TreeNode right) {
 *         this.val = val;
 *         this.left = left;
 *         this.right = right;
 *     }
 * }
 */
class Solution {
    void level(TreeNode root, int index, List<List<Integer>> res) {
        // 当前行对应的列表不存在,加一个空列表
        if(res.size() < index) {
            res.add(new ArrayList<Integer>());
        }
        // 将当前节点的值加入当前行的 res 中
        res.get(index-1).add(root.val);
        // 递归处理左子树
        if(root.left != null) {
            level(root.left, index+1, res);
        }
        // 递归处理右子树
        if(root.right != null) {
            level(root.right, index+1, res);
        }
  }
    public List<List<Integer>> levelOrderBottom(TreeNode root) {
        if(root == null) {
            return new ArrayList<List<Integer>>();
        }
​
        List<List<Integer>> list = new ArrayList<List<Integer>>();
        List<List<Integer>> res = new ArrayList<List<Integer>>();
        level(root, 1, list);
        for(int i = list.size()-1; i >= 0; i--){
            res.add(list.get(i));
        }
        return res;
    }
}

二叉树层次遍历递归版,由于每个节点都被遍历到,所以时间复杂度为 O(n)

此外在递归过程中调用了额外的栈空间,维护了一个 res 的结果数组,所以空间复杂度为 O(n)

非递归法(迭代)

非递归版的层次遍历我们用的则是队列,这是由于层次遍历的属性非常契合队列的特点。

队列是一种先进先出(First in First Out)的数据结构,简称 FIFO

如果不太了解队列的,可以看下面这篇文章:

ACM 选手带你玩转栈和队列

思路很简单:

使用队列保存每一层的所有节点,把队列里的所有节点出队列,然后把这些出去节点各自的子节点入队列

以此来完成对每层的遍历。

107-6

# 存储当前层的孩子节点列表
childNodes = []
​
for node in queue:
    # 若节点存在左孩子,入队
    if node.left:
        childNodes.append(node.left)
    # 若节点存在右孩子,入队
    if node.right:
        childNodes.append(node.right)
# 更新队列为下一层的节点,继续遍历
queue = childNodes

当然还是要记得对最后的结果进行逆序输出。

Python 代码实现

# Definition for a binary tree node.
# class TreeNode:
#     def __init__(self, val=0, left=None, right=None):
#         self.val = val
#         self.left = left
#         self.right = right
class Solution:
    def levelOrderBottom(self, root: TreeNode) -> List[List[int]]:
        if root == None:
            return []
​
        res = []
        queue = [root]
​
        while queue:
            res.append([node.val for node in queue])
            # 存储当前层的孩子节点列表
            childNodes = []
​
            for node in queue:
                # 若节点存在左孩子,入队
                if node.left:
                    childNodes.append(node.left)
                # 若节点存在右孩子,入队
                if node.right:
                    childNodes.append(node.right)
            # 更新队列为下一层的节点,继续遍历
            queue = childNodes
​
        return res[::-1]

Java 代码实现

/**
 * Definition for a binary tree node.
 * public class TreeNode {
 *     int val;
 *     TreeNode left;
 *     TreeNode right;
 *     TreeNode() {}
 *     TreeNode(int val) { this.val = val; }
 *     TreeNode(int val, TreeNode left, TreeNode right) {
 *         this.val = val;
 *         this.left = left;
 *         this.right = right;
 *     }
 * }
 */
class Solution {
    public List<List<Integer>> levelOrderBottom(TreeNode root) {
        List<List<Integer>> list = new ArrayList<List<Integer>>();
        List<List<Integer>> res = new ArrayList<List<Integer>>();
        if (root == null) {
            return res;
        }
​
        Queue<TreeNode> queue = new LinkedList<TreeNode>();
        queue.offer(root);
​
        while (!queue.isEmpty()) {
            List<Integer> curlevel = new ArrayList<Integer>();
            int curlevelLen = queue.size();
            for (int i = 1; i <= curlevelLen; ++i) {
                TreeNode node = queue.poll();
                curlevel.add(node.val);
​
                if (node.left != null) {
                    queue.offer(node.left);
                }
​
                if (node.right != null) {
                    queue.offer(node.right);
                }
            }
            list.add(curlevel);
        }
        
        for(int i = list.size()-1; i >= 0; i--){
            res.add(list.get(i));
        }
​
        return res;
    }
}

二叉树的层次遍历非递归版,每个节点进出队列各一次,所以时间复杂度为 O(n)

此外,额外维护了一个队列和一个结果数组,所以空间复杂度为 O(n)


图解二叉树的层序遍历Ⅱ 到这就结束辣,大家学废了嘛?

这道题掌握了层序遍历就掌握了精髓,还是要多多练习呀!

当然不要忘记我的 点赞, 让我快乐快乐。

我是帅蛋,我们下次见!