如何利用C++、Java、Python将二进制树转换为其镜像树

81 阅读1分钟

问题

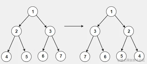
给定一个二叉树,你需要把它转换成它的镜像。这个问题也被称为倒置二叉树问题。

例子

image.png

处理方法

我们可以用DFS来解决这个问题。考虑一种情况,当你需要将下面的二叉树转换成镜像树时。

      1
   /     \
  2       3

我们将简单地交换根的左右两个子树。这种算法也可以在子树上扩展。我们以任何顺序遍历一棵树,并不断交换每个节点的左右子女。最终,这将导致给定树的镜像。大多数树的问题都是通过扩展算法来解决的,就像我们在这里做的那样。

复杂度分析

时间复杂度为O(N),空间复杂度在最坏的情况下也为O(N)。

C++编程

#include <iostream>
using namespace std;

struct TreeNode
{
    int val;
    TreeNode *left, *right;

    TreeNode(int val)
    {
        this->val = val;
        this->left = this->right = nullptr;
    }
};

void printTree(TreeNode* root)
{
    if (root == nullptr) {
        return;
    }

    cout << root->val << " ";
    printTree(root->left);
    printTree(root->right);
}

bool dfs(TreeNode* root)
{
    if (!root) {
        return true;
    }

    

输出

1 3 2

Java编程

class TreeNode
{
    int val;
    TreeNode left = null, right = null;

    TreeNode(int val) {
        this.val = val;
    }
}

class Main
{
    public static void printTree(TreeNode root)
    {
        if (root == null) {
            return;
        }
        System.out.print(root.val + " ");
        printTree(root.left);
        printTree(root.right);
    }

    public static void swap(TreeNode root)
    {
        if (root == null) {
            return;
        }
        TreeNode temp = root.left;
        root.left = root.right;
        root.right = temp;
    }

    public static void dfs(TreeNode root)
    {
        if (root == null) {
            return;
        }

        

输出

1 3 2

Python编程

class TreeNode:
    def __init__(self, val, left=None, right=None):
        self.val = val
        self.left = left
        self.right = right
 
def printTree(root):
    if root is None:
        return

    print(root.val, end=' ')
    printTree(root.left)
    printTree(root.right)

def swap(root):
    if root is None:
        return

    temp = root.left
    root.left = root.right
    root.right = temp

def dfs(root):
    if root is None:
        return

    # convert left subtree
    dfs(root.left)

    # convert right subtree
    dfs(root.right)

    # swap left subtree with right subtree
    swap(root)

root = TreeNode(1)
root.left = TreeNode(2)
root.right = TreeNode(3)
dfs(root)
printTree(root)

輸出

1 3 2