☆打卡算法☆LeetCode 203. 移除链表元素 算法解析

99 阅读2分钟

携手创作,共同成长!这是我参与「掘金日新计划 · 8 月更文挑战」的第22天,点击查看活动详情

推荐阅读

大家好,我是小魔龙,Unity3D软件工程师,VR、AR,虚拟仿真方向,不定时更新软件开发技巧,生活感悟,觉得有用记得一键三连哦。

一、题目

1、算法题目

“给定一个链表头结点和一个整数val,删除链表中所有能满足Node.val == val的节点,返回新的头结点。”

题目链接:

来源:力扣(LeetCode)

链接: 203. 移除链表元素 - 力扣(LeetCode)

2、题目描述

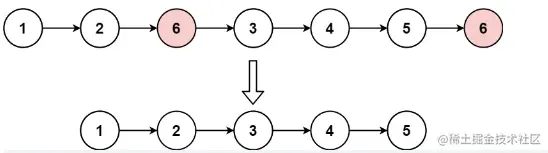
给你一个链表的头节点 head 和一个整数 val ,请你删除链表中所有满足 Node.val == val 的节点,并返回 新的头节点 。

image.png

示例 1:
输入: head = [1,2,6,3,4,5,6], val = 6
输出: [1,2,3,4,5]
示例 2:
输入: head = [], val = 1
输出: []

二、解题

1、思路分析

题意要求我们删除所有满足条件的节点,然后返回新节点。

因为链表自身就具有递归的性质,可以使用递归来解题。

对于给定的链表,先删除除了头结点之外的满足条件的节点。

然后判断头结点是否满足条件:

  • 满足条件就删除,删除后的头结点就是head.next。
  • 不满足条件保留,头结点还是head

递归的终止条件是head为空,head为空直接返回head。

不为空,递归地进行删除操作,然后判断head是否满足条件来决定是否删除head。

2、代码实现

代码参考:

class Solution {
    public ListNode removeElements(ListNode head, int val) {
        if (head == null) {
            return head;
        }
        head.next = removeElements(head.next, val);
        return head.val == val ? head.next : head;
    }
}

image.png

3、时间复杂度

时间复杂度:O(n)

其中n是链表的长度,递归过程中需要遍历链表一次。

空间复杂度:O(n)

其中n是链表的长度。

三、总结

总结一下:

  • 递归地删除除了头结点之外的满足条件的节点。
  • 判断头节点是否满足条件,满足条件就删除,返回head.next,不满足条件保留,头结点还是head

当然,也可以使用一个虚拟头结点来保存头节点,然后从头往后遍历。

满足条件就删除节点的上一节点指向删除及诶单的下一个节点,否则就往后推进。

最后返回虚拟头结点的next节点。