331. 验证二叉树的前序序列化

109 阅读1分钟

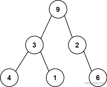
序列化二叉树的一种方法是使用 前序遍历 。当我们遇到一个非空节点时,我们可以记录下这个节点的值。如果它是一个空节点,我们可以使用一个标记值记录,例如 #

image.png

例如,上面的二叉树可以被序列化为字符串 "9,3,4,#,#,1,#,#,2,#,6,#,#",其中 # 代表一个空节点。

给定一串以逗号分隔的序列,验证它是否是正确的二叉树的前序序列化。编写一个在不重构树的条件下的可行算法。

保证 每个以逗号分隔的字符或为一个整数或为一个表示 null 指针的 '#' 。

你可以认为输入格式总是有效的

  • 例如它永远不会包含两个连续的逗号,比如 "1,,3" 。

注意: 不允许重建树。

示例 1:

输入: preorder = "9,3,4,#,#,1,#,#,2,#,6,#,#"
输出: true

示例 2:

输入: preorder = "1,#"
输出: false

示例 3:

输入: preorder = "9,#,#,1"
输出: false

题解:

/**
 * @param {string} preorder
 * @return {boolean}
 */
// 方法一:栈结构
var isValidSerialization = function (preorder) {
    let i = 0, stack = [1];
    preorder = preorder.split(',');
    let n = preorder.length;
    while (i < n) {
        if (!stack.length) {
            return false
        }
        if (preorder[i] == ",") {
            i++
        } else if (preorder[i] == "#") {
            stack[stack.length - 1]--
            if (stack[stack.length - 1] == 0) {
                stack.pop()
            }
            i++
        } else {
            // 当preorder 为字符串时遍历 preorder时读取一个数字 
            // 使用while 防止当前数为双数
            // while (i < n && preorder[i] !== ',') {
            //     ++i;
            // }
            ++i;
            stack[stack.length - 1]--;
            if (stack[stack.length - 1] === 0) {
                stack.pop();
            }
            stack.push(2)
        }
    }
    return stack.length == 0
};
// 方法二:有向图
// 一条有向边带来一个入度和一个出度
// 二叉树的总入度等于总出度,也等于边数
// 1、根节点提供 2 个出度
// 2、根节点以外的真实节点,提供 2 个出度, 1 个入度
// 3、null 节点提供 1 个入度
var isValidSerialization = function (preorder) {
    if (preorder == "#") { // 特例
        return true
    }
    let indegree = 0, outdegree = 0 // 初始 入度出度
    const nodes = preorder.split(",") // 转成数组

    for (let i = 0; i < nodes.length; i++) { // 遍历数组
        if (i == 0) { // 根节点
            if (nodes[i] == "#") { // #,#,1 这样的 是非法的
                return false
            }
            outdegree += 2 // 根节点  出度+2
            continue
        }
        if (nodes[i] == "#") { // null节点,入度+1
            indegree += 1
        } else {               // 非空节点 入度+1 出度+2
            indegree += 1
            outdegree += 2
        }
        if (i != nodes.length - 1 && indegree >= outdegree) {
            // 一直保持indegree<outdegree,直到最后才indegree==outdegree,
            // 做不到就false
            return false
        }
    }
    return indegree == outdegree // 最后肯定入度==出度
}

来源:力扣(LeetCode)

链接:leetcode.cn/problems/ve…

著作权归领扣网络所有。商业转载请联系官方授权,非商业转载请注明出处。